全球化学品在线数据库

N1-[3-[3,5,7,9,11,13,15-七(2-甲基丙基)五环[9.5.1.1(3,9).1(5,15).1(7,13)]八硅氧烷-1-基]丙基]-1,2-乙二胺 化学品安全技术说明书 (CAS 444315-16-6)

本页面提供 N1-[3-[3,5,7,9,11,13,15-七(2-甲基丙基)五环[9.5.1.1(3,9).1(5,15).1(7,13)]八硅氧烷-1-基]丙基]-1,2-乙二胺 (CAS 444315-16-6) 的化学品安全技术说明书 (SDS),包括危险性、急救措施、储存与操作要求等信息。用户可免费下载 SDS 文件用于实验室或工业参考。

产品概述

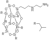
结构式 CAS# 444315-16-6, N1-[3-[3,5,7,9,11,13,15-七(2-甲基丙基)五环[9.5.1.1(3,9).1(5,15).1(7,13)]八硅氧烷-1-基]丙基]-1,2-乙二胺
产品名称 N1-[3-[3,5,7,9,11,13,15-七(2-甲基丙基)五环[9.5.1.1(3,9).1(5,15).1(7,13)]八硅氧烷-1-基]丙基]-1,2-乙二胺
CAS 登录号 444315-16-6
分子式 C33H76N2O12Si8
分子量 917.65
N1-[3-[3,5,7,9,11,13,15-七(2-甲基丙基)五环[9.5.1.1(3,9).1(5,15).1(7,13)]八硅氧烷-1-基]丙基]-1,2-乙二胺的详细资料
 
资料来源 SDS 样本
Sigma-Aldrich
www.sigmaaldrich.com/catalog/Lookup.do?N5=All&N3=mode+matchpartialmax&N1=S_ID&ST=RS&N25=0&F=PR&D7=0&N4=444315-16-6
浏览或下载

免责声明

本页所列之化学品安全技术说明书样本系 chemBlink 公司搜集的互联网公开信息,仅用于指导化学品安全技术说明书的编辑与制作。chemBlink 竭诚提供可靠信息,然而不承诺其完备与准确。 阅读全文...



常见问题 (FAQ)
什么是 SDS?   如何下载 SDS?   SDS 是否免费?   SDS 和 MSDS 有什么区别?



相关化学品安全技术说明书
2-碘三氟甲基苯   邻三氟甲基苯酚   1-(4-氟苯基)-...   [2,5-二(辛基氧...   5,7,8-三羟基黄...   1,3,5,7,9,...   2-苯二甲酰亚氨基乙...   6-(1,3-二氧代...   (5R)-3-(4-...   钾丁基(三氟)硼酸酯...