Online Database of Chemicals from Around the World

化学品安全技术说明书

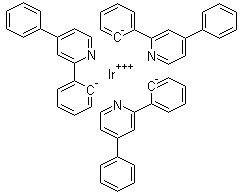
三[2-(4-苯基-吡啶-2-基)苯]合铱
[ CAS# 459133-57-4 ]

产品概述

结构式 CAS# 459133-57-4, 三[2-(4-苯基-吡啶-2-基)苯]合铱
产品名称 三[2-(4-苯基-吡啶-2-基)苯]合铱
CAS 登录号 459133-57-4
分子式 Csub51/subHsub36/subIrNsub3/sub
分子量 883.07
三[2-(4-苯基-吡啶-2-基)苯]合铱的详细资料
 
资料来源 SDS 样本
Ambeed
file.ambeed.com/static/upload/prosds/am/332/SDS-A331672.pdf
浏览或下载

免责声明

本页所列之化学品安全技术说明书样本系 chemBlink 公司搜集的互联网公开信息,仅用于指导化学品安全技术说明书的编辑与制作。chemBlink 竭诚提供可靠信息,然而不承诺其完备与准确。 阅读全文...




相关化学品安全技术说明书
十六氟癸二酸二甲酯   4-氟安非他明   4-氟苯基丙酮   对氟苯乙酰氯   1-(4-氟苯基)-...   5-溴-3-碘-1H...   5-溴-3-碘-1H...   3-碘-5-硝基-1...   2-(丁基亚磺酰基)...   吡啶-3,5-二羧酸...