全球化学品在线数据库

1-羟基辛烷-1,1-二膦酸 化学品安全技术说明书 (CAS 53019-19-5)

本页面提供 1-羟基辛烷-1,1-二膦酸 (CAS 53019-19-5) 的化学品安全技术说明书 (SDS),包括危险性、急救措施、储存与操作要求等信息。用户可免费下载 SDS 文件用于实验室或工业参考。

产品概述

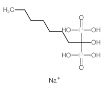
结构式 CAS# 53019-19-5, 1-羟基辛烷-1,1-二膦酸
产品名称 1-羟基辛烷-1,1-二膦酸
CAS 登录号 53019-19-5
分子式 C8H20NaO7P2
分子量 313.18
1-羟基辛烷-1,1-二膦酸的详细资料
 
资料来源 SDS 样本
Matrix
www.matrixscientific.com/media/msds/09/61/30/MxMSDS_096130.pdf
浏览或下载

免责声明

本页所列之化学品安全技术说明书样本系 chemBlink 公司搜集的互联网公开信息,仅用于指导化学品安全技术说明书的编辑与制作。chemBlink 竭诚提供可靠信息,然而不承诺其完备与准确。 阅读全文...



常见问题 (FAQ)
什么是 SDS?   如何下载 SDS?   SDS 是否免费?   SDS 和 MSDS 有什么区别?



相关化学品安全技术说明书
3,5-二氟苯甲酸钠...   3-[5-[4-(环...   L-云杉素   5-甲酰基-2-甲基...   季戊四醇磷酸酯   2-溴甲基-3-糠酸...   5-(3-羟基丙基)...   3-[(羧基羰基)氨...   7-甲氧基萘-1-胺   3-叔丁氧羰基氨基-...