全球化学品在线数据库

4-(10,15,20-三苯基卟啉-5-基)苯胺 化学品安全技术说明书 (CAS 67605-64-5)

本页面提供 4-(10,15,20-三苯基卟啉-5-基)苯胺 (CAS 67605-64-5) 的化学品安全技术说明书 (SDS),包括危险性、急救措施、储存与操作要求等信息。用户可免费下载 SDS 文件用于实验室或工业参考。

产品概述

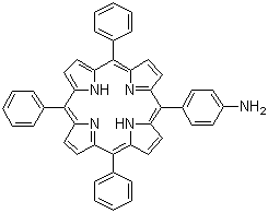
结构式 CAS# 67605-64-5, 4-(10,15,20-三苯基卟啉-5-基)苯胺
产品名称 4-(10,15,20-三苯基卟啉-5-基)苯胺
CAS 登录号 67605-64-5
分子式 C44H31N5
分子量 629.75
4-(10,15,20-三苯基卟啉-5-基)苯胺的详细资料
 
资料来源 SDS 样本
Ambeed
file.ambeed.com/static/upload/prosds/am/988/SDS-A987041.pdf
浏览或下载

免责声明

本页所列之化学品安全技术说明书样本系 chemBlink 公司搜集的互联网公开信息,仅用于指导化学品安全技术说明书的编辑与制作。chemBlink 竭诚提供可靠信息,然而不承诺其完备与准确。 阅读全文...



常见问题 (FAQ)
什么是 SDS?   如何下载 SDS?   SDS 是否免费?   SDS 和 MSDS 有什么区别?



相关化学品安全技术说明书
8-羟基-2-喹啉甲...   2,5,7-三甲基-...   10-氧代十一烷酸   2-氨基-5-硝基烟...   (+/-)-柚皮素   N-[(3S)-四氢...   D-2-氨基丁酸盐酸...   L-色氨酰-beta...   3-氨基-2-羟基苯...   5-氨基-2-羟基苯...