全球化学品在线数据库

Lisicon SP 210 化学品安全技术说明书 (CAS 888491-19-8)

本页面提供 Lisicon SP 210 (CAS 888491-19-8) 的化学品安全技术说明书 (SDS),包括危险性、急救措施、储存与操作要求等信息。用户可免费下载 SDS 文件用于实验室或工业参考。

产品概述

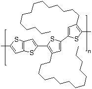
结构式 CAS# 888491-19-8, Lisicon SP 210; 聚(2,5-双(3-十四烷基噻吩-2-基)噻吩并[3,2-b]噻吩)
产品名称 Lisicon SP 210
CAS 登录号 888491-19-8
分子式 (C42H62S4)n
Lisicon SP 210的详细资料
 
资料来源 SDS 样本
Sigma-Aldrich
www.sigmaaldrich.com/catalog/Lookup.do?N5=All&N3=mode+matchpartialmax&N1=S_ID&ST=RS&N25=0&F=PR&D7=0&N4=888491-19-8
浏览或下载

免责声明

本页所列之化学品安全技术说明书样本系 chemBlink 公司搜集的互联网公开信息,仅用于指导化学品安全技术说明书的编辑与制作。chemBlink 竭诚提供可靠信息,然而不承诺其完备与准确。 阅读全文...



常见问题 (FAQ)
什么是 SDS?   如何下载 SDS?   SDS 是否免费?   SDS 和 MSDS 有什么区别?



相关化学品安全技术说明书
2-溴-5-三氟甲氧...   1-溴-3-(2,2...   (3S,5S)-3,...   N-甲基-N-丙基哌...   2'-脱氧-7,8-...   1H-吡咯并[2,3...   1,6-二氢-5-羟...   5-甲基-1,3,4...   吡前列素钾盐   2-丙烯醛 2-(2...