全球化学品在线数据库

L-酪氨酰-D-半胱氨酰甘氨酰-L-苯丙氨酰-L-半胱氨酰-L-精氨酰-N2-甲基-L-精氨酰-D-亮氨酰-L-精氨酰胺环(2-5)-二硫醚
[CAS 103614-06-8]

供应商
CAS#: 103614-06-8
产品: L-酪氨酰-D-半胱氨酰甘氨酰-L-苯丙氨酰-L-半胱氨酰-L-精氨酰-N2-甲基-L-精氨酰-D-亮氨酰-L-精氨酰胺环(2-5)-二硫醚
暂时没有厂家供应该产品。
基本信息
产品名称 L-酪氨酰-D-半胱氨酰甘氨酰-L-苯丙氨酰-L-半胱氨酰-L-精氨酰-N2-甲基-L-精氨酰-D-亮氨酰-L-精氨酰胺环(2-5)-二硫醚
英文名 L-Tyrosyl-D-cysteinylglycyl-L-phenylalanyl-L-cysteinyl-L-arginyl-N2-methyl-L-arginyl-D-leucyl-L-Argininamide cyclic (2-5)-disulfide
别名 (2R)-N-[(1S)-1-[[(2S)-2-[[(2R)-2-[[(2S)-2-[[2-[[(2S)-2-[[(2S)-2-Amino-3-(4-Hydroxyphenyl)Propanoyl]Amino]-3-Thioxo-Propanoyl]Amino]Acetyl]Amino]-3-Phenyl-Propanoyl]Amino]-3-Sulfanyl-Propanoyl]Amino]-5-Guanidino-Pentanoyl]Carbamoyl]-4-Guanidino-Butyl]-2-[[(2S)-5-Guanidino-2-Methylamino-Pentanoyl]Amino]-4-Methyl-Pentanamide; (2R)-N-[(1S)-1-[[[(2S)-2-[[(2R)-2-[[(2S)-2-[[2-[[(2S)-2-[[(2S)-2-Amino-3-(4-Hydroxyphenyl)-1-Oxopropyl]Amino]-1-Oxo-3-Thioxopropyl]Amino]-1-Oxoethyl]Amino]-1-Oxo-3-Phenylpropyl]Amino]-3-Mercapto-1-Oxopropyl]Amino]-5-Guanidino-1-Oxopentyl]Amino]-Oxomethyl]-4-Guanidinobutyl]-2-[[(2S)-5-Guanidino-2-Methylamino-1-Oxopentyl]Amino]-4-Methylpentanamide; (2R)-N-[(1S)-1-[[(2S)-2-[[(2R)-2-[[(2S)-2-[[2-[[(2S)-2-[[(2S)-2-Amino-3-(4-Hydroxyphenyl)Propanoyl]Amino]-3-Thioxo-Propanoyl]Amino]Acetyl]Amino]-3-Phenyl-Propanoyl]Amino]-3-Mercapto-Propanoyl]Amino]-5-Guanidino-Pentanoyl]Carbamoyl]-4-Guanidino-Butyl]-2-[[(2S)-5-Guanidino-2-Methylamino-Pentanoyl]Amino]-4-Methyl-Valeramide
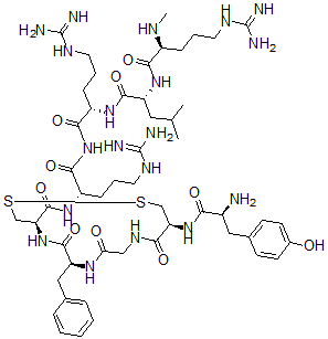
分子结构 CAS 登录号:103614-06-8, L-酪氨酰-D-半胱氨酰甘氨酰-L-苯丙氨酰-L-半胱氨酰-L-精氨酰-N2-甲基-L-精氨酰-D-亮氨酰-L-精氨酰胺环(2-5)-二硫醚
分子式 C51H81N19O10S2
分子量 1184.44
CAS 登录号 103614-06-8
分子行输入简码 SMILES [C@@H](NC(=O)[C@@H](NC)CCCN=C(N)N)(CC(C)C)C(=O)N[C@@H](CCCN=C(N)N)C(=O)NC(=O)[C@@H](NC(=O)[C@@H](NC(=O)[C@@H](NC(=O)CNC(=O)[C@H](NC(=O)[C@@H](N)CC1=CC=C(O)C=C1)C=S)CC2=CC=CC=C2)CS)CCCN=C(N)N
国际化学标识码 InChI 1S/C51H81N19O10S2/c1-28(2)22-36(67-43(75)33(59-3)12-7-19-60-49(53)54)46(78)65-34(13-8-20-61-50(55)56)44(76)70-45(77)35(14-9-21-62-51(57)58)66-48(80)39(27-82)69-47(79)37(24-29-10-5-4-6-11-29)64-40(72)25-63-42(74)38(26-81)68-41(73)32(52)23-30-15-17-31(71)18-16-30/h4-6,10-11,15-18,26,28,32-39,59,71,82H,7-9,12-14,19-25,27,52H2,1-3H3,(H,63,74)(H,64,72)(H,65,78)(H,66,80)(H,67,75)(H,68,73)(H,69,79)(H4,53,54,60)(H4,55,56,61)(H4,57,58,62)(H,70,76,77)/t32-,33-,34-,35-,36+,37-,38+,39-/m0/s1
国际化学标识检索码 InChIKey HZVKGQPGVYVRKU-XOFRUKGJSA-N
物理化学性质
密度 1.456g/cm3 (计算值)
市场分析报告
相关产品
N-L-酪氨酰-促肾上腺皮质激...  酪氨酰-蛋氨酰(O)-甘氨酰-...  L-酪氨酰-L-蛋氨酰-L-a...  L-酪氨酰-L-蛋氨酰-L-半...  L-酪氨酰-L-蛋氨酰-L-苯...  L-酪氨酰-L-蛋氨酰-L-丙...  L-酪氨酰-L-蛋氨酰甘氨酰-...  酪氨酰-蛋氨酰-O-甘氨酰-对...  L-酪氨酰-L-蛋氨酰-L-天...  L-酪氨酰-L-蛋氨酰-L-异...  L-酪氨酰-D-苯丙氨酰-L-...  L-酪氨酰-D-丙氨酰-L-(...  N-(N-(N-(N-L-酪氨...  L-酪氨酰-D-丙氨酰-L-苯...  L-酪氨酰-D-丙氨酰-L-苯...  L-酪氨酰-D-丙氨酰-L-苯...  酪氨酰-D-丙氨酰-甘氨酸  L-酪氨酰-D-丙氨酰甘氨酰-...  L-酪氨酰-D-丙氨酰甘氨酰-...  L-酪氨酰-D-丙氨酰甘氨酰-...