全球化学品在线数据库

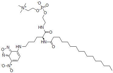
2-[[(2S)-2-(棕榈酰氨基)-6-[(4-硝基-2,1,3-苯并恶二唑-7-基)氨基]己酰]氨基]乙基2-三甲基铵乙基磷酸酯盐
[CAS 109897-91-8]

供应商
CAS#: 109897-91-8
产品: 2-[[(2S)-2-(棕榈酰氨基)-6-[(4-硝基-2,1,3-苯并恶二唑-7-基)氨基]己酰]氨基]乙基2-三甲基铵乙基磷酸酯盐
暂时没有厂家供应该产品。
基本信息
产品名称 2-[[(2S)-2-(棕榈酰氨基)-6-[(4-硝基-2,1,3-苯并恶二唑-7-基)氨基]己酰]氨基]乙基2-三甲基铵乙基磷酸酯盐
英文名 2-[[(2S)-2-(Hexadecanoylamino)-6-[(4-Nitro-2,1,3-Benzoxadiazol-7-Yl)Amino]Hexanoyl]Amino]Ethyl 2-Trimethylazaniumylethyl Phosphate
别名 2-[[(2S)-2-(Hexadecanoylamino)-6-[(4-Nitro-2,1,3-Benzoxadiazol-7-Yl)Amino]Hexanoyl]Amino]Ethyl 2-Trimethylammonioethyl Phosphate; 2-[[(2S)-6-[(4-Nitro-2,1,3-Benzoxadiazol-7-Yl)Amino]-1-Oxo-2-(1-Oxohexadecylamino)Hexyl]Amino]Ethyl 2-Trimethylammonioethyl Phosphate; 2-[[(2S)-6-[(7-Nitrobenzofurazan-4-Yl)Amino]-2-Palmitamido-Hexanoyl]Amino]Ethyl 2-Trimethylammonioethyl Phosphate
分子结构 CAS 登录号:109897-91-8, 2-[[(2S)-2-(棕榈酰氨基)-6-[(4-硝基-2,1,3-苯并恶二唑-7-基)氨基]己酰]氨基]乙基2-三甲基铵乙基磷酸酯盐
分子式 C35H62N7O9P
分子量 755.89
CAS 登录号 109897-91-8
分子行输入简码 SMILES [C@H](NC(=O)CCCCCCCCCCCCCCC)(CCCCNC1=CC=C([N+]([O-])=O)C2=NON=C12)C(=O)NCCO[P](OCC[N+](C)(C)C)([O-])=O
国际化学标识码 InChI 1S/C35H62N7O9P/c1-5-6-7-8-9-10-11-12-13-14-15-16-17-21-32(43)38-30(35(44)37-25-27-49-52(47,48)50-28-26-42(2,3)4)20-18-19-24-36-29-22-23-31(41(45)46)34-33(29)39-51-40-34/h22-23,30H,5-21,24-28H2,1-4H3,(H3-,36,37,38,40,43,44,47,48)/t30-/m0/s1
国际化学标识检索码 InChIKey PGROHZHFGAHXNO-PMERELPUSA-N
市场分析报告
相关产品
1-棕榈酰-2-油酰基磷脂酰乙...  1-棕榈酰-2-油酰基-sn-...  1-棕榈酰-2-油酰基-sn-...  1-棕榈酰-2-油酰磷脂酰甘油  1-棕榈酰-2-棕榈油酰基-S...  1-棕榈酰-3-氯丙烷二醇  1-棕榈酰-3-O-苄基-外消...  12-O-棕榈酰-4-脱氧-4...  棕榈酰胺丙基甜菜碱  2-(N-棕榈酰氨基)-4-硝...  3-(棕榈酰氨基)丙基三甲基氯...  3-(棕榈酰氨基)-N-[3-...  2-(棕榈酰氨基)乙酸  2-(棕榈酰氨基)乙烷磺酸  [(2R)-1-[2-(棕榈酰...  6-棕榈酰氨基-4-甲基伞形酮...  2-N-棕榈酰氨基-4-硝基苯...  棕榈酰胺基丙胺氧化物  棕榈酰氨基乙基甲烷硫代磺酸酯  5-棕榈酰氨基荧光素