| 科邦特化工 (杭州) 有限公司 | 中国 | |||
|---|---|---|---|---|
![]() | www.capotchem.com | |||
![]() | +86 (571) 8558-6718 +86 13336195806 | |||
![]() | +86 (571) 8586-4795 | |||
![]() | capotchem@gmail.com sales@capotchem.com | |||
![]() | QQ Chat | |||
| 化学品生产商 | ||||
| chemBlink 标准供应商 (2006年起) | ||||
| 爱科生物制药有限公司 | 中国 | |||
|---|---|---|---|---|
![]() | www.activebiopharma.com | |||
![]() | +86 (571) 8161-2335 | |||
![]() | support@activebiopharma.com | |||
| 化学品生产商 | ||||
| chemBlink 标准供应商 (2012年起) | ||||
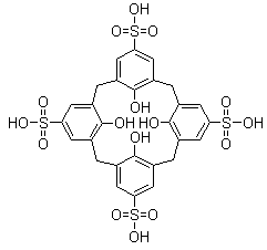
| 产品名称 | 对磺酸基杯[4]芳烃 |
|---|---|
| 英文名 | p-Sulfonatocalix[4]arene |
| 分子结构 | ![]() |
| 分子式 | C28H24O16S4 |
| 分子量 | 744.74 |
| CAS 登录号 | 112269-92-8 |
| EC 号码 | 635-151-7 |
| 溶解度 | 易溶 (998 g/L) (25 °C), 计算值* |
|---|---|
| 密度 | 1.786±0.06 g/cm3 (20 °C 760 Torr), 计算值* |
| 熔点 | >300 °C** |
| * | 使用计算机软件 Advanced Chemistry Development (ACD/Labs) Software V11.02 (©1994-2013 ACD/Labs) |
| ** | Tauran, Yannick |
| 危险品标志 | |||||||||||||||||
|---|---|---|---|---|---|---|---|---|---|---|---|---|---|---|---|---|---|
| 危害标签 | R36/37/38 说明 | ||||||||||||||||
| 防护标签 | S26;S36 说明 | ||||||||||||||||
| 危害分类 | |||||||||||||||||
| |||||||||||||||||
| SDS | 化学品安全技术说明书参考文本 | ||||||||||||||||
| 市场分析报告 |