全球化学品在线数据库

beta-环糊精 2-羟基乙基醚
[CAS 128446-32-2]

供应商目录
厦门志信化学有限公司 中国
www.simagchem.com
+86 13806087780
+86 (592) 268-0237
sale@simagchem.com
化学品生产商 (2002年起)
chemBlink 标准供应商 (2008年起)
合肥天健化工有限公司 中国
www.tnjchem.com
+86 (551) 6541-8684
+86 (551) 6541-8697
sales@tnjchem.com
化学品生产商 (2001年起)
chemBlink 标准供应商 (2010年起)
BOC Sciences 美国
www.bocsci.com
+1 (631) 485-4226
+1 (631) 614-7828
info@bocsci.com
化学品生产商
chemBlink 标准供应商 (2010年起)
山东滨州智源生物科技有限公司 中国
www.bzzysw.com
+86 (543) 818-6048
klaus.chen@cydextrin.com
化学品生产商 (2010年起)
chemBlink 标准供应商 (2013年起)

基本信息
产品分类化学试剂 >> 有机试剂 >> 环糊精
产品名称beta-环糊精 2-羟基乙基醚
英文名beta-Cyclodextrin 2-hydroxyethyl ethers
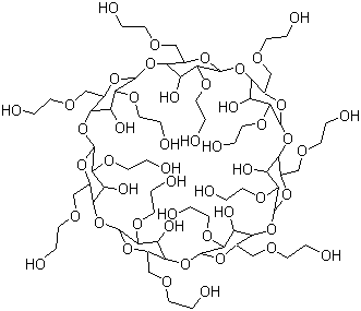
分子结构beta-环糊精 2-羟基乙基醚分子结构 (CAS 128446-32-2)
分子式C70H126O49
分子量1751.74
CAS 登录号128446-32-2
安全数据
SDS化学品安全技术说明书参考文本
市场分析报告
相关产品
环黄杨碱 D  alpha-环糊精  环糊精  zeta-环糊精  epsilon-环糊精  gamma-环糊精  beta-环糊精  delta-环糊精  alpha-环糊精 2-羟基丙...  gamma-环糊精 2-羟基丙...  beta-环糊精 6-对甲苯磺...  alpha-环糊精-6-单甲苯...  环糊精-苯甲醛  beta-环糊精吡罗昔康  beta-环糊精-环氧氯丙烷共...  alpha-环糊精磷酸二氢酯钠...  beta-环糊精磷酸二氢酯钠盐  gamma-环糊精磷酸二氢酯钠...  beta-环糊精硫酸化钠盐  alpha-环糊精硫酸钠盐水合...