| BOC Sciences | 美国 | |||
|---|---|---|---|---|
![]() | www.bocsci.com | |||
![]() | +1 (631) 485-4226 | |||
![]() | +1 (631) 614-7828 | |||
![]() | info@bocsci.com | |||
| 化学品生产商 | ||||
| chemBlink 标准供应商 (2010年起) | ||||
| 成都健腾生物技术有限公司 | 中国 | |||
|---|---|---|---|---|
![]() | www.aktinchem.com | |||
![]() | +86 400-028-7725 | |||
![]() | +86 (28) 8515-2372 | |||
![]() | info@aktinchem.com | |||
![]() | QQ Chat | |||
| 化学品生产商 | ||||
| chemBlink 标准供应商 (2011年起) | ||||
| 成都普瑞法科技开发有限公司 | 中国 | |||
|---|---|---|---|---|
![]() | www.phytopurify.com | |||
![]() | +86 (28) 8263-3860 8263-3987 | |||
![]() | +86 (28) 8263-3165 | |||
![]() | sales@biopurify.com biopurify@gmail.com | |||
![]() | QQ Chat | |||
![]() | Skype Chat | |||
| 化学品生产商 | ||||
| chemBlink 标准供应商 (2017年起) | ||||
| 常州新星联生物科技有限公司 | 中国 | |||
|---|---|---|---|---|
![]() | www.neostarunited.com | |||
![]() | +86 (519) 8555-7386 +86 18015025600 | |||
![]() | +86 (519) 8555-7389 | |||
![]() | marketing1@neostarunited.com | |||
| 化学品供销商 (2014年起) | ||||
| chemBlink 标准供应商 (2020年起) | ||||
| 产品分类 | 生物化工 >> 中草药成分 |
|---|---|
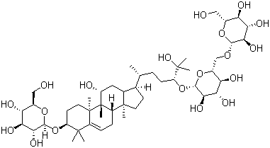
| 产品名称 | 罗汉果甙 III |
| 英文名 | Mogroside III |
| 别名 | (3beta,9beta,10alpha,11alpha,24R)-3-(beta-D-Glucopyranosyloxy)-11,25-dihydroxy-9-methyl-19-norlanost-5-en-24-yl 6-O-beta-D-glucopyranosyl-beta-D-glucopyranoside |
| 分子结构 | ![]() |
| 分子式 | C48H82O19 |
| 分子量 | 963.15 |
| CAS 登录号 | 130567-83-8 |
| 密度 | 1.40 |
|---|---|
| SDS | 化学品安全技术说明书参考文本 |
|---|---|
| 市场分析报告 |