全球化学品在线数据库

环噻唑霉素
[CAS 133352-26-8]

供应商
CAS#: 133352-26-8
产品: 环噻唑霉素
暂时没有厂家供应该产品。
基本信息
产品名称 环噻唑霉素
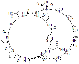
英文名 Cyclothiazomycin
分子结构 CAS 登录号:133352-26-8, 环噻唑霉素
分子式 C59H64N18O14S7
分子量 1473.69
CAS 登录号 133352-26-8
分子行输入简码 SMILES S7C%10(NC(=O)C(/NC(=O)C1N=C(SC1)C(NC(=O)C2=C(N=C(C=C2)C3=NC(=CS3)C4=NC(CS4)C(=O)NC(C5=NC(=CS5)C6=NC(=CS6)C8=NC(C(=O)NC(C7)C(O)=O)CS8)=C)C(NC(=O)C9N(CCC9)C(=O)C(NC(=O)CNC(=O)C(NC%10=O)C(O)C)=CC)C)CC(=O)N)=C\C)C
国际化学标识码 InChI 1S/C59H64N18O14S7/c1-7-27-47(85)76-59(6)58(91)75-42(25(5)78)49(87)61-15-40(80)64-28(8-2)56(88)77-13-9-10-38(77)48(86)62-23(3)41-26(43(81)67-30(14-39(60)79)52-69-32(17-93-52)45(83)66-27)11-12-29(65-41)51-73-35(20-96-51)53-70-31(16-94-53)44(82)63-24(4)50-72-34(19-92-50)55-74-36(21-97-55)54-71-33(18-95-54)46(84)68-37(22-98-59)57(89)90/h7-8,11-12,19-21,23,25,30-33,37-38,42,78H,4,9-10,13-18,22H2,1-3,5-6H3,(H2,60,79)(H,61,87)(H,62,86)(H,63,82)(H,64,80)(H,66,83)(H,67,81)(H,68,84)(H,75,91)(H,76,85)(H,89,90)/b27-7+,28-8?
国际化学标识检索码 InChIKey OGUUCNCVZHZWGA-AQPHYCSBSA-N
市场分析报告
相关产品
1-[(2Z,4Z,6Z,8Z...  1-[(1E,4Z,6Z,8Z...  (2Z,4E,6Z,8E)-2...  环壬酮  环壬酮肟  环壬烷  1,3-环壬烷二酮  (1Z)-环壬烯  环壬烯  (1E)-1-环壬烯-1-甲醛  环桑皮黄素  环桑色烯  环三磷腈-Pmmh-192 树...  环三十烷  环色烯酮  1,10-环十八烷二酮  环十二醇  (1Z,5E,9Z)-环十二碳...  环十二碳-4,8-二烯-1-基...  1,7-环十二碳二炔