全球化学品在线数据库

(2E)-N-[3-[4-(2-氨基乙基)-2-溴苯氧基]丙基]-3-(3,5-二溴-4-甲氧基苯基)-2-羟基亚胺丙酰胺
[CAS 136685-30-8]

供应商
CAS#: 136685-30-8
产品: (2E)-N-[3-[4-(2-氨基乙基)-2-溴苯氧基]丙基]-3-(3,5-二溴-4-甲氧基苯基)-2-羟基亚胺丙酰胺
暂时没有厂家供应该产品。
基本信息
产品名称 (2E)-N-[3-[4-(2-氨基乙基)-2-溴苯氧基]丙基]-3-(3,5-二溴-4-甲氧基苯基)-2-羟基亚胺丙酰胺
英文名 (2E)-N-[3-[4-(2-Aminoethyl)-2-Bromophenoxy]Propyl]-3-(3,5-Dibromo-4-Methoxyphenyl)-2-Hydroxyiminopropanamide
别名 (2E)-N-[3-[4-(2-Aminoethyl)-2-Bromo-Phenoxy]Propyl]-3-(3,5-Dibromo-4-Methoxy-Phenyl)-2-Hydroxyimino-Propanamide; (2E)-N-[3-[4-(2-Aminoethyl)-2-Bromo-Phenoxy]Propyl]-3-(3,5-Dibromo-4-Methoxy-Phenyl)-2-Hydroximino-Propionamide; 14-Debromoprearaplysillin I
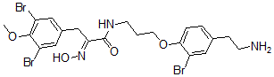
分子结构 CAS 登录号:136685-30-8, (2E)-N-[3-[4-(2-氨基乙基)-2-溴苯氧基]丙基]-3-(3,5-二溴-4-甲氧基苯基)-2-羟基亚胺丙酰胺
分子式 C21H24Br3N3O4
分子量 622.15
CAS 登录号 136685-30-8
分子行输入简码 SMILES C1=C(C=C(Br)C(=C1Br)OC)C\C(=N/O)C(=O)NCCCOC2=CC=C(C=C2Br)CCN
国际化学标识码 InChI 1S/C21H24Br3N3O4/c1-30-20-16(23)10-14(11-17(20)24)12-18(27-29)21(28)26-7-2-8-31-19-4-3-13(5-6-25)9-15(19)22/h3-4,9-11,29H,2,5-8,12,25H2,1H3,(H,26,28)/b27-18+
国际化学标识检索码 InChIKey DJJKDYYBOSZKDA-OVVQPSECSA-N
物理化学性质
密度 1.709g/cm3 (计算值)
市场分析报告
相关产品
[4-(2-氨基乙基)-2-羟...  5-(2-氨基-乙基)-2-羟...  (2S,3S,4S,5R,6S...  5-(2-氨基乙基)-2-噻吩...  1-[5-(2-氨基乙基)-2...  5-(2-氨基乙基)-2-噻吩...  1-(2-氨基乙基)-2-十七...  1-(2-氨基乙基)-2-十七...  1-(2-氨基乙基)-2-十七...  4-(2-氨基乙基)-2-硝基...  (6R)-N-[3-[4-(2...  1-(2-氨基乙基)-3-(2...  2-(2-氨基乙基)-3-(4...  2-(2-氨基乙基)-3-(4...  (2S)-N1-(2-氨基乙基...  alpha-(2-氨基乙基)-...  (2R,3S,4R)-2-(2...  1-(2-氨基乙基)-3,4-...  2-(2-氨基乙基)-3,4-...  alpha-(1-氨基乙基)-...