|
CAS#: 139701-81-8 产品: [(2R)-1-[[2-[(2-氨基-6-氧代-3H-嘌呤-9-基)甲氧基]乙氧基-羟基磷酰]氧基-羟基磷酰]氧基-3-十四碳酰氧基丙-2-基]十四烷酸酯 暂时没有厂家供应该产品。 |
| 产品名称 | [(2R)-1-[[2-[(2-氨基-6-氧代-3H-嘌呤-9-基)甲氧基]乙氧基-羟基磷酰]氧基-羟基磷酰]氧基-3-十四碳酰氧基丙-2-基]十四烷酸酯 |
|---|---|
| 英文名 | [(2R)-1-[[2-[(2-Amino-6-Oxo-3H-Purin-9-Yl)Methoxy]Ethoxy-Hydroxyphosphoryl]Oxy-Hydroxyphosphoryl]Oxy-3-Tetradecanoyloxypropan-2-Yl] Tetradecanoate |
| 别名 | [(1R)-1-[[[2-[(2-Amino-6-Oxo-3H-Purin-9-Yl)Methoxy]Ethoxy-Hydroxy-Phosphoryl]Oxy-Hydroxy-Phosphoryl]Oxymethyl]-2-Tetradecanoyloxy-Ethyl] Tetradecanoate; Tetradecanoic Acid [(1R)-1-[[[2-[(2-Amino-6-Oxo-3H-Purin-9-Yl)Methoxy]Ethoxy-Hydroxyphosphoryl]Oxy-Hydroxyphosphoryl]Oxymethyl]-2-(1-Oxotetradecoxy)Ethyl] Ester; Myristic Acid [(1R)-1-[[[2-[(2-Amino-6-Keto-3H-Purin-9-Yl)Methoxy]Ethoxy-Hydroxy-Phosphoryl]Oxy-Hydroxy-Phosphoryl]Oxymethyl]-2-Tetradecanoyloxy-Ethyl] Ester |
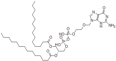
| 分子结构 | ![]() |
| 分子式 | C39H71N5O13P2 |
| 分子量 | 879.96 |
| CAS 登录号 | 139701-81-8 |
| 分子行输入简码 SMILES | [C@H](CO[P](O[P](OCCOC[N]1C=NC2=C1NC(=NC2=O)N)(=O)O)(=O)O)(COC(CCCCCCCCCCCCC)=O)OC(=O)CCCCCCCCCCCCC |
| 国际化学标识码 InChI | 1S/C39H71N5O13P2/c1-3-5-7-9-11-13-15-17-19-21-23-25-34(45)53-29-33(56-35(46)26-24-22-20-18-16-14-12-10-8-6-4-2)30-55-59(50,51)57-58(48,49)54-28-27-52-32-44-31-41-36-37(44)42-39(40)43-38(36)47/h31,33H,3-30,32H2,1-2H3,(H,48,49)(H,50,51)(H3,40,42,43,47)/t33-/m1/s1 |
| 国际化学标识检索码 InChIKey | FSGKYMRFBHSKFV-MGBGTMOVSA-N |
| 密度 | 1.291g/cm3 (计算值) |
|---|---|
| 沸点 | 926.646°C at 760 mmHg (计算值) |
| 闪点 | 514.217°C (计算值) |
| 市场分析报告 |