全球化学品在线数据库

多粘菌素
[CAS 1406-11-7]

供应商
Alfa Chemistry 美国
+1 (201) 478-8534
inquiry@alfa-chemistry.com
化学品供销商(2012 年起)
chemBlink 标准供应商(2012 年起)
BOC Sciences 美国
+1 (631) 485-4226
info@bocsci.com
Skype 聊天
化学品供销商
chemBlink 集群供应商(2012 年起)
基本信息
产品名称 多粘菌素
英文名 Polymixin
别名 [(1S)-3-Amino-1-[[(1S,2R)-1-[[(1S)-3-Amino-1-[[(3S,6S,9S,12S,15R,18S,21S)-6,9,18-Tris(2-Aminoethyl)-3-(1-Hydroxyethyl)-12-Isobutyl-2,5,8,11,14,17,20-Heptaoxo-15-(Phenylmethyl)-1,4,7,10,13,16,19-Heptazacyclotricos-21-Yl]Carbamoyl]Propyl]Carbamoyl]-2-Hydroxy-Propyl]Carbamoyl]Propyl]Carbamic Acid; [(1S)-3-Amino-1-[[[(1S,2R)-1-[[[(1S)-3-Amino-1-[Oxo-[[(3S,6S,9S,12S,15R,18S,21S)-6,9,18-Tris(2-Aminoethyl)-3-(1-Hydroxyethyl)-12-Isobutyl-2,5,8,11,14,17,20-Heptaoxo-15-(Phenylmethyl)-1,4,7,10,13,16,19-Heptazacyclotricos-21-Yl]Amino]Methyl]Propyl]Amino]-Oxomethyl]-2-Hydroxypropyl]Amino]-Oxomethyl]Propyl]Carbamic Acid; [(1S)-3-Amino-1-[[(1S,2R)-1-[[(1S)-3-Amino-1-[[(3S,6S,9S,12S,15R,18S,21S)-6,9,18-Tris(2-Aminoethyl)-15-(Benzyl)-3-(1-Hydroxyethyl)-12-Isobutyl-2,5,8,11,14,17,20-Heptaketo-1,4,7,10,13,16,19-Heptazacyclotricos-21-Yl]Carbamoyl]Propyl]Carbamoyl]-2-Hydroxy-Propyl]Carbamoyl]Propyl]Carbamic Acid
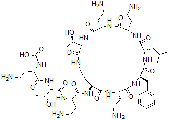
分子结构 CAS 登录号:1406-11-7, 多粘菌素
分子式 C48H82N16O14
分子量 1107.27
CAS 登录号 1406-11-7
分子行输入简码 SMILES [C@@H]1(NC(=O)[C@@H](NC(=O)[C@@H](NC(=O)[C@@H](NC(=O)[C@@H](NC(=O)[C@@H](NC(=O)O)CCN)[C@H](O)C)CCN)CCNC(=O)[C@@H](NC(=O)[C@@H](NC(=O)[C@@H](NC(=O)[C@@H](NC1=O)CC(C)C)CCN)CCN)[C@H](O)C)CCN)CC2=CC=CC=C2
国际化学标识码 InChI 1S/C48H82N16O14/c1-24(2)22-34-44(73)57-28(10-16-49)38(67)56-31(13-19-52)42(71)63-36(25(3)65)46(75)54-21-15-33(41(70)55-29(11-17-50)40(69)61-35(45(74)60-34)23-27-8-6-5-7-9-27)58-39(68)30(12-18-51)59-47(76)37(26(4)66)64-43(72)32(14-20-53)62-48(77)78/h5-9,24-26,28-37,62,65-66H,10-23,49-53H2,1-4H3,(H,54,75)(H,55,70)(H,56,67)(H,57,73)(H,58,68)(H,59,76)(H,60,74)(H,61,69)(H,63,71)(H,64,72)(H,77,78)/t25-,26-,28+,29+,30+,31+,32+,33+,34+,35-,36+,37+/m1/s1
国际化学标识检索码 InChIKey WGRSQPZAOZIPGC-VVYZPAMCSA-N
市场分析报告
相关产品
多马唑啉  多马唑啉富马酸盐  多米奥醇  多米匹宗  多奈哌齐; 1-苄基-4-[(...  (-)-多奈哌齐盐酸盐  (+)-多奈哌齐盐酸盐  多奈替丁  多粘环素  多粘菌素  多黏菌素 B(1)  多粘菌素 E  多粘菌素 E 甲磺酸钠  多黏菌素 M  多黏菌素 S1  多黏菌素 T1  多黏菌素B九肽盐酸盐  多黏菌素D  多粘菌素E1  多尼培南; (+)-(4R,5...