|
CAS#: 145194-33-8 产品: L-半胱氨酰-L-酪氨酰-L-异亮氨酰甘氨酰-L-丝氨酰-L-精氨酰-L-酪氨酰-L-异亮氨酰甘氨酰-L-丝氨酰-L-精氨酰-L-酪氨酰-L-异亮氨酰甘氨酰-L-丝氨酰-L-精氨酰胺 暂时没有厂家供应该产品。 |
| 产品名称 | L-半胱氨酰-L-酪氨酰-L-异亮氨酰甘氨酰-L-丝氨酰-L-精氨酰-L-酪氨酰-L-异亮氨酰甘氨酰-L-丝氨酰-L-精氨酰-L-酪氨酰-L-异亮氨酰甘氨酰-L-丝氨酰-L-精氨酰胺 |
|---|---|
| 英文名 | L-Cysteinyl-L-tyrosyl-L-isoleucylglycyl-L-seryl-L-arginyl-L-tyrosyl-L-isoleucylglycyl-L-seryl-L-arginyl-L-tyrosyl-L-isoleucylglycyl-L-seryl-L-argininamide |
| 别名 | L-Argininamide, L-Cysteinyl-L-Tyrosyl-L-Isoleucylglycyl-L-Seryl-L-Arginyl-L-Tyrosyl-L-Isoleucylglycyl-L-Seryl-L-Arginyl-L-Tyrosyl-L-Isoleucylglycyl-L-Seryl-; L-Cysteinyl-L-Tyrosyl-L-Isoleucylglycyl-L-Seryl-L-Arginyl-L-Tyrosyl-L-Isoleucylglycyl-L-Seryl-L-Arginyl-L-Tyrosyl-L-Isoleucylglycyl-L-Seryl-L-Argininamide |
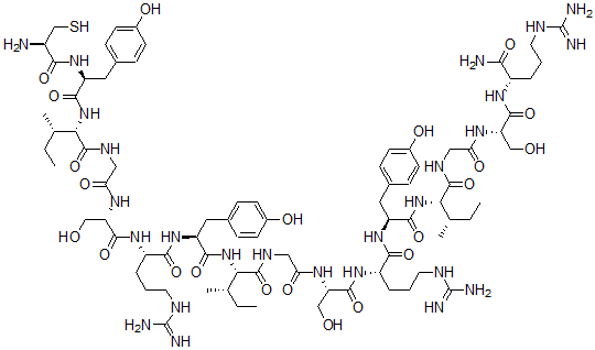
| 分子结构 | ![]() |
| 分子式 | C81H128N26O22S |
| 分子量 | 1850.12 |
| CAS 登录号 | 145194-33-8 |
| 分子行输入简码 SMILES | [C@@H](NC([C@@H](NC(CNC([C@@H](NC([C@@H](NC([C@@H](NC([C@@H](NC(CNC([C@@H](NC([C@@H](NC([C@@H](NC([C@@H](NC(CNC([C@@H](NC([C@@H](NC([C@@H](N)CS)=O)CC1=CC=C(C=C1)O)=O)[C@@H](C)CC)=O)=O)CO)=O)CCCNC(N)=N)=O)CC2=CC=C(C=C2)O)=O)[C@@H](C)CC)=O)=O)CO)=O)CCCNC(N)=N)=O)CC3=CC=C(C=C3)O)=O)[C@@H](C)CC)=O)=O)CO)=O)(C(=O)N)CCCNC(N)=N |
| 国际化学标识码 InChI | 1S/C81H128N26O22S/c1-7-41(4)63(105-70(121)54(102-67(118)50(82)40-130)31-44-16-22-47(111)23-17-44)76(127)94-35-61(115)97-58(38-109)74(125)100-52(14-11-29-91-80(86)87)69(120)104-56(33-46-20-26-49(113)27-21-46)72(123)107-65(43(6)9-3)78(129)95-36-62(116)98-59(39-110)75(126)101-53(15-12-30-92-81(88)89)68(119)103-55(32-45-18-24-48(112)25-19-45)71(122)106-64(42(5)8-2)77(128)93-34-60(114)96-57(37-108)73(124)99-51(66(83)117)13-10-28-90-79(84)85/h16-27,41-43,50-59,63-65,108-113,130H,7-15,28-40,82H2,1-6H3,(H2,83,117)(H,93,128)(H,94,127)(H,95,129)(H,96,114)(H,97,115)(H,98,116)(H,99,124)(H,100,125)(H,101,126)(H,102,118)(H,103,119)(H,104,120)(H,105,121)(H,106,122)(H,107,123)(H4,84,85,90)(H4,86,87,91)(H4,88,89,92)/t41-,42-,43-,50-,51-,52-,53-,54-,55-,56-,57-,58-,59-,63-,64-,65-/m0/s1 |
| 国际化学标识检索码 InChIKey | NYGUKCMZBVVHAD-XRUGSSGGSA-N |
| 市场分析报告 |