基本信息
| 产品名称 |
2-[(2R)-2-丁烷基]-4-{4-[4-(4-甲氧基苯基)-1-哌嗪基]苯基}-2,4-二氢-3H-1,2,4-三唑-3-酮 |
| 英文名 |
2-[(2R)-2-Butanyl]-4-{4-[4-(4-Methoxyphenyl)-1-Piperazinyl]Phenyl}-2,4-Dihydro-3H-1,2,4-Triazol-3-One |
| 别名 |
3H-1,2,4-Triazol-3-one, 2,4-dihydro-4-[4-[4-(4-methoxyphenyl)-1-piperazinyl]phenyl]-2-(1-methylpropyl)-, (R)-; TL8001085; ZINC00644681 |
|
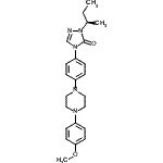
| 分子结构 |
![CAS 登录号:149809-44-9, 2-[(2R)-2-丁烷基]-4-{4-[4-(4-甲氧基苯基)-1-哌嗪基]苯基}-2,4-二氢-3H-1,2,4-三唑-3-酮](/moreStructures/149809-44-9.gif) |
| 分子式 |
C23H29N5O2 |
| 分子量 |
407.51 |
| CAS 登录号 |
149809-44-9 |
| 分子行输入简码 SMILES |
O=C1N(/N=C\N1c4ccc(N3CCN(c2ccc(OC)cc2)CC3)cc4)[C@H](C)CC |
| 国际化学标识码 InChI |
1S/C23H29N5O2/c1-4-18(2)28-23(29)27(17-24-28)21-7-5-19(6-8-21)25-13-15-26(16-14-25)20-9-11-22(30-3)12-10-20/h5-12,17-18H,4,13-16H2,1-3H3/t18-/m1/s1 |
| 国际化学标识检索码 InChIKey |
IVIVGYTUQVJVPF-GOSISDBHSA-N |
|