全球化学品在线数据库

四乙基[3-(四氢-2H-吡喃-2-基氧基)-1,1-丙烷二基]二(膦酸酯)
[CAS 150250-33-2]

供应商
Epsilon Chimie Chemical Manufacturer 法国
+33 (2) 9842-4650
pierre.cornec@epsilon-chimie.com
化学品生产商
Manchester Organics Ltd. 英国
+44 (1928) 710-200
info@manchesterorganics.com
化学品生产商
基本信息
产品名称 四乙基[3-(四氢-2H-吡喃-2-基氧基)-1,1-丙烷二基]二(膦酸酯)
英文名 Tetraethyl [3-(Tetrahydro-2H-Pyran-2-Yloxy)-1,1-Propanediyl]Bis(Phosphonate)
别名 2-[3,3-bis(diethoxyphosphoryl)propoxy]tetrahydropyran
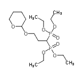
分子结构 CAS 登录号:150250-33-2, 四乙基[3-(四氢-2H-吡喃-2-基氧基)-1,1-丙烷二基]二(膦酸酯)
分子式 C16H34O8P2
分子量 416.38
CAS 登录号 150250-33-2
分子行输入简码 SMILES CCOP(=O)(C(CCOC1CCCCO1)P(=O)(OCC)OCC)OCC
国际化学标识码 InChI 1S/C16H34O8P2/c1-5-21-25(17,22-6-2)16(26(18,23-7-3)24-8-4)12-14-20-15-11-9-10-13-19-15/h15-16H,5-14H2,1-4H3
国际化学标识检索码 InChIKey VTAKXZDAEQKSJW-UHFFFAOYSA-N
物理化学性质
密度 1.1±0.1g/cm3 (计算值)
沸点 515.1±50.0°C at 760 mmHg (计算值)
闪点 278.4±50.4°C (计算值)
折射率 1.453 (计算值)
市场分析报告
相关产品
四乙二醇二甲醚; 四甘醇二甲醚  四乙二醇二缩水甘油醚  四乙二醇双异辛酸酯; 2-乙基...  四异癸基双酚 A 二亚磷酸酯  四乙基(2E)-2-丁烯-1,...  四乙基(2-氧代-1,3-丙烷...  四乙基(3-氨基-1,1-丙烷...  四乙基(3-羟基-1,1-丙烷...  四乙基(4-氨基-1,1-丁烷...  四乙基(4-羟基-1,1-丁烷...  四乙基1,1'-(1,2-乙二...  3,4,5,6-四乙基-1,2...  N1,N1,N3,N3-四乙基...  N,N,N',N'-四乙基-1...  四乙基-1,4-苯二膦酸酯  2,3,4,6-四乙基-1,4...  N,N,N',N'-四乙基-1...  2,2,6,6-四乙基-1,5...  四乙基1,5-戊烷二基二(膦酸...  N,N,N',N'-四乙基-1...