全球化学品在线数据库

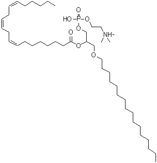
[1-(十六烷氧基甲基)-2-[羟基-[2-(三甲基-lambda5-氮烷基)乙氧基]磷酰]氧基-乙基] (8Z,11Z,14Z)-二十-8,11,14-三烯酸酯
[CAS 155575-01-2]

供应商
Alfa Chemistry 美国
+1 (201) 478-8534
inquiry@alfa-chemistry.com
化学品供销商(2012 年起)
chemBlink 标准供应商(2012 年起)
Santa Cruz Biotechnology, Inc. 美国
+1 (831) 457-3800
scbt@scbt.com
化学品生产商
Sigma-Aldrich, Inc. 美国
+86 (21) 6141-5566 / 800-819-3336
ordercn@sial.com,
化学品生产商(1992 年起)
基本信息
产品名称 [1-(十六烷氧基甲基)-2-[羟基-[2-(三甲基-lambda5-氮烷基)乙氧基]磷酰]氧基-乙基] (8Z,11Z,14Z)-二十-8,11,14-三烯酸酯
英文名 [1-(Hexadecoxymethyl)-2-[Hydroxy-[2-(Trimethyl-lambda5-Azanyl)Ethoxy]Phosphoryl]Oxy-Ethyl] (8Z,11Z,14Z)-Icosa-8,11,14-Trienoate
别名 1-O-Palmityl-2-(cis-8,11,14-eicosatrienoyl)-sn-glycero-3-phosphocholine; Dihomo-γ-Linolenoyl PAF C-16; P0704_SIGMA
分子结构 CAS 登录号:155575-01-2, [1-(十六烷氧基甲基)-2-[羟基-[2-(三甲基-lambda<sup>5</sup>-氮烷基)乙氧基]磷酰]氧基-乙基] (8Z,11Z,14Z)-二十-8,11,14-三烯酸酯
分子式 C44H85NO7P
CAS 登录号 155575-01-2
分子行输入简码 SMILES O=C(OC(COP(O)(=O)OCCN(C)(C)C)COCCCCCCCCCCCCCCCC)CCCCCC/C=C\C/C=C\C/C=C\CCCCC
国际化学标识码 InChI 1S/C44H85NO7P/c1-6-8-10-12-14-16-18-20-22-23-24-25-27-29-31-33-35-37-44(46)52-43(42-51-53(47,48)50-40-38-45(3,4)5)41-49-39-36-34-32-30-28-26-21-19-17-15-13-11-9-7-2/h14,16,20,22,24-25,43H,6-13,15,17-19,21,23,26-42H2,1-5H3,(H,47,48)/b16-14-,22-20-,25-24-
国际化学标识检索码 InChIKey BRXGGXRZUYJPTM-GBDFTIALSA-N
物理化学性质
折射率 (计算值)
市场分析报告
相关产品
3-十六烷氧基-2-甲氧基丙烷...  (3-十六烷氧基-2-羟基-2...  N-(3-十六烷氧基-2-羟基...  (3-十六烷氧基-2-十四烷氧...  [2-十六烷氧基-3-[(E)...  [(3S)-4-十六烷氧基-3...  2-十六烷氧基-5-[2-(1...  (2R,3R,4S,5S,6R...  3-十六烷氧基丙腈  1-(十六烷氧基甲基)-1-甲...  (十六烷氧基-羟基磷酰)(2S...  4-十六烷氧基硝基苯  2-(2-十六烷氧基乙氧基)乙...  1-十六烯  十六酰胺乙醇  2,5,8,11,14,17,...  1,1a,2,2,3,4,5,...  十铝钡十六氧化物  铈铝合金(2:1)  十氯联苯