基本信息
| 产品名称 |
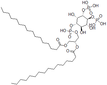
[(2R)-2-棕榈酰氧基-3-[羟基-[(1S,2R,3R,4S,5S,6S)-2,3,6-三羟基-4,5-二膦酰氧基环己基]氧基磷酰]氧基丙基]棕榈酸酯 |
| 英文名 |
[(2R)-2-Hexadecanoyloxy-3-[Hydroxy-[(1S,2R,3R,4S,5S,6S)-2,3,6-Trihydroxy-4,5-Diphosphonooxycyclohexyl]Oxyphosphoryl]Oxypropyl] Hexadecanoate |
| 别名 |
[(2R)-2-Hexadecanoyloxy-3-[Hydroxy-[(1S,2R,3R,4S,5S,6S)-2,3,6-Trihydroxy-4,5-Diphosphonooxy-Cyclohexoxy]Phosphoryl]Oxy-Propyl] Hexadecanoate; Hexadecanoic Acid [(2R)-3-[Hydroxy-[(1S,2R,3R,4S,5S,6S)-2,3,6-Trihydroxy-4,5-Diphosphonooxycyclohexoxy]Phosphoryl]Oxy-2-(1-Oxohexadecoxy)Propyl] Ester; Palmitic Acid [(2R)-2-Hexadecanoyloxy-3-[Hydroxy-[(1S,2R,3R,4S,5S,6S)-2,3,6-Trihydroxy-4,5-Diphosphonooxy-Cyclohexoxy]Phosphoryl]Oxy-Propyl] Ester |
|
| 分子结构 |
![CAS 登录号:165883-85-2, [(2R)-2-棕榈酰氧基-3-[羟基-[(1S,2R,3R,4S,5S,6S)-2,3,6-三羟基-4,5-二膦酰氧基环己基]氧基磷酰]氧基丙基]棕榈酸酯](/moreStructures/165883-85-2.gif) |
| 分子式 |
C41H81O19P3 |
| 分子量 |
971.00 |
| CAS 登录号 |
165883-85-2 |
| 分子行输入简码 SMILES |
[C@@H]1(O[P](=O)(O)O)[C@@H](O[P](=O)(O)O)[C@H](O)[C@@H](O)[C@H](O[P](OC[C@H](OC(=O)CCCCCCCCCCCCCCC)COC(=O)CCCCCCCCCCCCCCC)(=O)O)[C@@H]1O |
| 国际化学标识码 InChI |
1S/C41H81O19P3/c1-3-5-7-9-11-13-15-17-19-21-23-25-27-29-34(42)55-31-33(57-35(43)30-28-26-24-22-20-18-16-14-12-10-8-6-4-2)32-56-63(53,54)60-39-36(44)37(45)40(58-61(47,48)49)41(38(39)46)59-62(50,51)52/h33,36-41,44-46H,3-32H2,1-2H3,(H,53,54)(H2,47,48,49)(H2,50,51,52)/t33-,36-,37-,38+,39+,40+,41+/m1/s1 |
| 国际化学标识检索码 InChIKey |
HKWJHKSHEWVOSS-OMDJCSNQSA-N |
|