全球化学品在线数据库

苯甲酸离子通道 I
[CAS 227092-22-0]

供应商目录
Alfa Chemistry 美国
www.alfa-chemistry.com
+1 (201) 478-8534
+1 (516) 927-0118
inquiry@alfa-chemistry.com
化学品供销商 (2012年起)
chemBlink 标准供应商 (2012年起)

基本信息
产品名称苯甲酸离子通道 I
英文名Benzoate Ionophore I
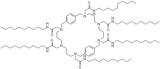
分子结构苯甲酸离子通道 I分子结构 (CAS 227092-22-0)
分子式C100H184N12O6
分子量1650.61
CAS 登录号227092-22-0
物理化学性质
溶解度极易溶解 (1000 g/L) (25 °C), 计算值*
密度0.960±0.06 g/cm3 (20 °C 760 Torr), 计算值*
*使用计算机软件 Advanced Chemistry Development (ACD/Labs) Software V11.02 (©1994-2015 ACD/Labs)
市场分析报告
相关产品
苯甲酸酐  苯甲酸汞  苯甲酸钴  苯甲酸环己基酯  苯甲酸钾  苯甲酸甲酯  苯甲酸甲酯-(羰基-13C)  苯甲酸己酯  苯甲酸锂  苯甲酸利扎曲坦  苯甲酸铝  苯甲酸铝 C16-18-脂肪酸...  苯甲酸镁  苯甲酸锰  苯甲酸钠  苯甲酸萘酚酯  苯甲酸镍  苯甲酸哌啶-1-基酯  苯甲酸铅  苯甲酸羟甲基酯