全球化学品在线数据库

beta-环糊精全苯甲酸酯
[CAS 23666-43-5]

供应商目录
卡博森斯化学科技 (苏州) 有限公司 中国
www.carbosynth.cn
+86 (512) 6260-5585
+86 (512) 6260-5576
sales@carbosynth.com
QQ Chat
化学品生产商 (2006年起)
chemBlink 标准供应商 (2016年起)

基本信息
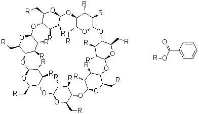
产品名称beta-环糊精全苯甲酸酯
英文名beta-Cyclodextrin perbenzoate
别名Hepta-(2,3,6-tri-oxy-benzoyl)-beta-cyclodextrin; Heptakis(2,3,6-tri-O-benzoyl)-beta-cyclodextrin
分子结构beta-环糊精全苯甲酸酯分子结构 (CAS 23666-43-5)
分子式C189H154O56
分子量3321.21
CAS 登录号23666-43-5
市场分析报告
相关产品
beta-环糊精 6-对甲苯磺...  alpha-环糊精-6-单甲苯...  环糊精-苯甲醛  beta-环糊精吡罗昔康  beta-环糊精-环氧氯丙烷共...  alpha-环糊精磷酸二氢酯钠...  beta-环糊精磷酸二氢酯钠盐  gamma-环糊精磷酸二氢酯钠...  beta-环糊精硫酸化钠盐  alpha-环糊精硫酸钠盐水合...  alpha-环糊精十八乙酸酯  beta-环糊精十四硫酸酯  alpha-环糊精水合物  beta-环糊精水合物  beta-环糊精乙酸酯  环己-1,3-二烯-5-炔  环己-1,4-二烯-1-羧酸  N-[[1-(环己-1-烯-1...  环己-1-烯-1-基三氟硼酸钾  环己-1-烯基三氟甲烷磺酸酯