全球化学品在线数据库

小鼠瘦素(116-130)酰胺
[CAS 258276-95-8]

供应商目录
Alfa Chemistry 美国
www.alfa-chemistry.com
+1 (201) 478-8534
+1 (516) 927-0118
inquiry@alfa-chemistry.com
化学品供销商 (2012年起)
chemBlink 标准供应商 (2012年起)
Tocris Bioscience Inc. 美国
www.tocris.com
+1 (636) 207-7651
+1 (636) 207-7683
customerservice.na@bio-techne.com
化学品生产商 (1982年起)

基本信息
产品名称小鼠瘦素(116-130)酰胺
英文名Mouse leptin(116-130) amide
别名L-Seryl-L-cysteinyl-L-seryl-L-leucyl-L-prolyl-L-glutaminyl-L-threonyl-L-serylglycyl-L-leucyl-L-glutaminyl-L-lysyl-L-prolyl-L-alpha-glutamyl-L-serinamide
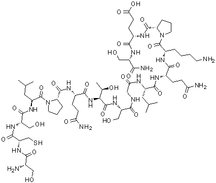
分子结构小鼠瘦素(116-130)酰胺分子结构 (CAS 258276-95-8)
分子式C64H109N19O24S
分子量1560.73
CAS 登录号258276-95-8
物理化学性质
密度1.372±0.06 g/cm3 (20 °C 760 Torr), 计算值*
*使用计算机软件 Advanced Chemistry Development (ACD/Labs) Software V11.02 (©1994-2014 ACD/Labs)
安全数据
SDS化学品安全技术说明书参考文本
市场分析报告
相关产品
小鼠催乳素释放肽 12-31  小鼠促生长激素神经肽-(1-2...  小鼠促肾上腺皮质激素-释放因子...  小鼠黑色素聚集激素  小鼠降钙素  小鼠甲状旁腺激素 1-34  小鼠饥饿素-28  小鼠脑钠尿肽(1-32)  小鼠内皮素-3  小鼠神经调节肽 S  小鼠下丘脑生长激素释放因子(1...  小丝兰提取物  硝酸  硝酸 2,2-二甲基丙基酯  硝酸-15N-18O3  硝酸铵  硝酸铵(氮15)  硝酸铵-<sup>15</su...  硝酸铵铒盐(5:2:1)  硝酸铵钙