| 合肥孚亚生物技术有限公司 | 中国 | |||
|---|---|---|---|---|
![]() |
+86 (551) 6288-8437 | |||
![]() |
info@purerechem.com | |||
![]() |
QQ 交流 | |||
![]() |
Skype 聊天 | |||
| 化学品生产商(2018 年起) | ||||
| chemBlink 集群供应商(2023 年起) | ||||
| 产品名称 | 维生素 B12-E-单羧酸 |
|---|---|
| 英文名 | Cyanocobalamin-E-Monocarboxylic Acid |
| 别名 | Cobinic Acid-Abcdg-Pentamide, Cyanide, Dihydrogen Phosphate (Ester), Inner Salt, 3'-Ester With 5,6-Dimethyl-1-Alpha-D-Ribofuranosyl-1H-Benzimidazole; Cyanocobalamin-E-Monocarboxylic Acid |
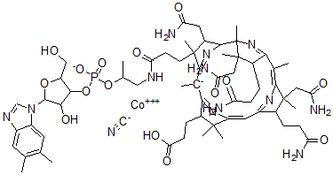
| 分子结构 | ![]() |
| 分子式 | C63H87CoN13O15P |
| 分子量 | 1356.37 |
| CAS 登录号 | 26264-28-8 |
| 分子行输入简码 SMILES | [Co+3].N1=C6C(C(C1(C2N=C(C(C2CC(=O)N)(CCC(=O)NCC(O[P](OC3C(O)C(OC3CO)[N]5C4=CC(=C(C=C4N=C5)C)C)([O-])=O)C)C)[C-](C8=NC(=CC7=NC(=C6C)C(C7CCC(=O)N)(CC(=O)N)C)C(C8CCC(=O)O)(C)C)C)C)(CC(=O)N)C)CCC(=O)N.N#[C-] |
| 国际化学标识码 InChI | 1S/C62H88N12O15P.CN.Co/c1-29-20-39-40(21-30(29)2)74(28-69-39)57-52(84)53(41(27-75)87-57)89-90(85,86)88-31(3)26-68-48(81)18-19-59(8)37(22-45(65)78)56-62(11)61(10,25-47(67)80)36(13-16-44(64)77)51(73-62)33(5)55-60(9,24-46(66)79)34(12-15-43(63)76)38(70-55)23-42-58(6,7)35(14-17-49(82)83)50(71-42)32(4)54(59)72-56;1-2;/h20-21,23,28,31,34-37,41,52-53,56-57,75,84H,12-19,22,24-27H2,1-11H3,(H2,63,76)(H2,64,77)(H2,65,78)(H2,66,79)(H2,67,80)(H,68,81)(H,82,83)(H,85,86);;/q2*-1;+3/p-1 |
| 国际化学标识检索码 InChIKey | WVRBEVNPDMTPHQ-UHFFFAOYSA-M |
| 市场分析报告 |