全球化学品在线数据库

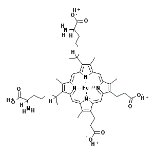
血红素 C
[CAS 26598-29-8]

供应商
CAS#: 26598-29-8
产品: 血红素 C
暂时没有厂家供应该产品。
基本信息
产品名称 血红素 C
英文名 Heme C
别名 Heme C
分子结构 CAS 登录号:26598-29-8, 血红素 C
分子式 C42H50FeN6O8S2
分子量 886.86
CAS 登录号 26598-29-8
分子行输入简码 SMILES [H+].[H+].[H+].[H+].C(C4=C(C3=CC8=N|2C(=CC1=C(C(=C6[N-]1|[Fe++]|5|2|[N-]3C4=CC7=N|5C(=C6)C(=C7CCC([O-])=O)C)C)C(SCCC(N)C([O-])=O)C)C(=C8C(SCCC(N)C([O-])=O)C)C)C)CC([O-])=O
国际化学标识码 InChI 1S/C42H52N6O8S2.Fe/c1-19-25(7-9-37(49)50)33-18-34-26(8-10-38(51)52)20(2)30(46-34)16-35-40(24(6)58-14-12-28(44)42(55)56)22(4)32(48-35)17-36-39(21(3)31(47-36)15-29(19)45-33)23(5)57-13-11-27(43)41(53)54;/h15-18,23-24,27-28H,7-14,43-44H2,1-6H3,(H6,45,46,47,48,49,50,51,52,53,54,55,56);/q;+2/p-2
国际化学标识检索码 InChIKey UMEBWDVAJMPSLP-UHFFFAOYSA-L
市场分析报告
相关产品
1-5-血管舒缓激肽  血管舒缓激肽  血管舒缓激肽,肌氨酰-(D-苯...  血管舒缓激肽-增强肽 9a  血管舒缓激肽-增强肽 C  血管舒缓激肽增效剂 B  血管肽素  血管抑素 (R) 蛋白质, 人  血红蛋白; 人血红蛋白; 牛血...  血红素 (马)  血红素 D1  血红素-A0  血红素alpha-链片段(12...  血红素酸  雪花胺莰酸酯  血浆白蛋白  血浆球蛋白  血竭红素  血竭素  血竭素