全球化学品在线数据库

地高辛二乙酸盐
[CAS 31668-45-8]

供应商
CAS#: 31668-45-8
产品: 地高辛二乙酸盐
暂时没有厂家供应该产品。
基本信息
产品名称 地高辛二乙酸盐
英文名 Digoxin, diacetate
别名 [(2R,3R,4S,6S)-3-[(2S,4S,5R,6R)-4-Acetoxy-5-Hydroxy-6-Methyl-Tetrahydropyran-2-Yl]Oxy-6-[(2R,4S,6R)-6-[[(3S,5R,8R,9S,10S,12R,13S,14S,17R)-12,14-Dihydroxy-10,13-Dimethyl-17-(5-Oxo-2H-Furan-3-Yl)-1,2,3,4,5,6,7,8,9,11,12,15,16,17-Tetradecahydrocyclopenta[A]Phenanthren-3-Yl]Oxy]-4-Hydroxy-2-Methyl-Tetrahydropyran-3-Yl]Oxy-2-Methyl-Tetrahydropyran-4-Yl] Acetate; Acetic Acid [(2R,3R,4S,6S)-3-[[(2S,4S,5R,6R)-4-Acetoxy-5-Hydroxy-6-Methyl-2-Tetrahydropyranyl]Oxy]-6-[[(2R,4S,6R)-6-[[(3S,5R,8R,9S,10S,12R,13S,14S,17R)-12,14-Dihydroxy-10,13-Dimethyl-17-(5-Oxo-2H-Furan-3-Yl)-1,2,3,4,5,6,7,8,9,11,12,15,16,17-Tetradecahydrocyclopenta[A]Phenanthren-3-Yl]Oxy]-4-Hydroxy-2-Methyl-3-Tetrahydropyranyl]Oxy]-2-Methyl-4-Tetrahydropyranyl] Ester; Acetic Acid [(2R,3R,4S,6S)-3-[(2S,4S,5R,6R)-4-Acetoxy-5-Hydroxy-6-Methyl-Tetrahydropyran-2-Yl]Oxy-6-[(2R,4S,6R)-6-[[(3S,5R,8R,9S,10S,12R,13S,14S,17R)-12,14-Dihydroxy-17-(5-Keto-2H-Furan-3-Yl)-10,13-Dimethyl-1,2,3,4,5,6,7,8,9,11,12,15,16,17-Tetradecahydrocyclopenta[A]Phenanthren-3-Yl]Oxy]-4-Hydroxy-2-Methyl-Tetrahydropyran-3-Yl]Oxy-2-Methyl-Tetrahydropyran-4-Yl] Ester
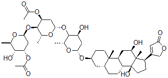
分子结构 CAS 登录号:31668-45-8, 地高辛二乙酸盐
分子式 C45H68O16
分子量 865.02
CAS 登录号 31668-45-8
分子行输入简码 SMILES [C@H]16[C@@H]([C@@]5([C@H](CC1)C[C@@H](O[C@@H]4O[C@@H](C(O[C@@H]3O[C@@H]([C@@H](O[C@@H]2O[C@@H]([C@@H](O)[C@@H](OC(=O)C)C2)C)[C@@H](OC(=O)C)C3)C)[C@@H](O)C4)C)CC5)C)C[C@@H](O)[C@]7([C@]6(O)CC[C@@H]7C8=CC(OC8)=O)C
国际化学标识码 InChI 1S/C45H68O16/c1-21-40(51)33(57-24(4)46)18-38(54-21)61-42-23(3)56-39(19-34(42)58-25(5)47)60-41-22(2)55-37(17-32(41)48)59-28-10-12-43(6)27(15-28)8-9-30-31(43)16-35(49)44(7)29(11-13-45(30,44)52)26-14-36(50)53-20-26/h14,21-23,27-35,37-42,48-49,51-52H,8-13,15-20H2,1-7H3/t21-,22-,23-,27-,28+,29-,30-,31+,32+,33+,34+,35-,37+,38+,39+,40-,41?,42-,43+,44+,45+/m1/s1
国际化学标识检索码 InChIKey MGZLUNICOCHCEI-MLKQVVFXSA-N
物理化学性质
密度 1.337g/cm3 (计算值)
沸点 923.375°C at 760 mmHg (计算值)
闪点 266.911°C (计算值)
市场分析报告
相关产品
地夫立群  地福沙肼  地弗他酮  地肤子皂苷 Ic  地肤子皂苷 II  地肤子皂苷 IIa  镝高氯酸盐水合物(1:3:1)  地高辛; 狄高辛; 异羟基洋地...  地高辛-16'-葡糖苷酸  地高辛-碘组胺(二(O-羧甲基...  地高辛-磷脂酰乙醇胺共轭的  地高辛配基-11-2',3'-...  地高辛配基-3,12-二乙酸酯  地高辛配基二(洋地黄毒糖甙)  地高辛配基-四-洋地黄毒糖化物  地高辛四乙酸酯  地格列汀  迪汞林  地骨皮甲素  地骨皮乙素