全球化学品在线数据库

苯基利福平
[CAS 33036-09-8]

供应商
CAS#: 33036-09-8
产品: 苯基利福平
暂时没有厂家供应该产品。
基本信息
产品名称 苯基利福平
英文名 Phenylrifampin
别名 Rifamycin, 3-[[[4-(Phenylmethyl)-1-Piperazinyl]Imino]Methyl]-; Aids-014395; Aids014395
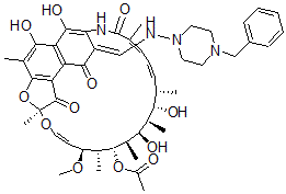
分子结构 CAS 登录号:33036-09-8, 苯基利福平
分子式 C49H62N4O12
分子量 899.05
CAS 登录号 33036-09-8
分子行输入简码 SMILES [C@H]1([C@H](O)[C@@H]([C@@H](O)[C@@H](C)\C=C\C=C(C(=O)NC4=C(O)C3=C(C2=C(O[C@](O/C=C/[C@H](OC)[C@H]([C@H]1OC(=O)C)C)(C2=O)C)C(=C3O)C)C(=O)\C4=C\NN5CCN(CC5)CC6=CC=CC=C6)\C)C)C
国际化学标识码 InChI 1S/C49H62N4O12/c1-26-14-13-15-27(2)48(61)51-39-34(24-50-53-21-19-52(20-22-53)25-33-16-11-10-12-17-33)43(58)36-37(44(39)59)42(57)31(6)46-38(36)47(60)49(8,65-46)63-23-18-35(62-9)28(3)45(64-32(7)54)30(5)41(56)29(4)40(26)55/h10-18,23-24,26,28-30,35,40-41,45,50,55-57,59H,19-22,25H2,1-9H3,(H,51,61)/b14-13+,23-18+,27-15-,34-24+/t26-,28+,29+,30+,35-,40-,41+,45+,49-/m0/s1
国际化学标识检索码 InChIKey ZFKIKNKAWFXLMY-RYIDOMIXSA-N
市场分析报告
相关产品
(3S)-3-苯基-L-脯氨酸  (5R)-5-苯基-L-脯氨酸  (5S)-5-苯基-L-脯氨酸...  N-苯基-L-脯氨酰胺  苯基锂  N-苯基联苯-4-胺  5-苯基联吡咯甲烷  3-苯基联环己烷  苯基锂苯基铜化合物  4-苯基立方烷-1-羧酸甲酯  苯基膦; 苯膦  N-苯基邻氨基苯甲酸; 芬那酸...  3,3'-(苯基膦二基)二(苯...  2,2'-(苯基膦二基)二吡啶  5-苯基-邻甲苯胺  2-(苯基邻甲苯基甲氧基)乙基...  (苯基邻甲苯基-甲氧基)-乙酸  5-苯基邻甲氧基苯胺  苯基磷酸  苯基-膦酸二(2,5-二氯苯基...