全球化学品在线数据库

L-二癸酰基磷脂酰胆碱
[CAS 3436-44-0]

供应商目录
Alfa Chemistry 美国
www.alfa-chemistry.com
+1 (201) 478-8534
+1 (516) 927-0118
inquiry@alfa-chemistry.com
化学品供销商 (2012年起)
chemBlink 标准供应商 (2012年起)
Advanced Synthesis 美国
www.advancedsynthesis.com
+1 (619) 423-7821
+1 (619) 423-7793
sales@advancedsynthesis.com
化学品生产商

基本信息
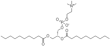
产品名称L-二癸酰基磷脂酰胆碱
英文名L-Didecanoylphosphatidylcholine
别名L-alpha-Didecanoylphosphatidylcholine
分子结构L-二癸酰基磷脂酰胆碱分子结构 (CAS 3436-44-0)
分子式C28H56NO8P
分子量565.72
CAS 登录号3436-44-0
安全数据
SDS化学品安全技术说明书参考文本
市场分析报告
相关产品
二癸酸甘油酯  二癸酸镉  二硅烷  二硅烷基-氨基亚膦酰二氟  N,N-二硅烷基-硅烷胺  二硅烷基硫醚  二硅烷基硒醚  二癸酰(羟基)铝  1,3-二癸酰-2-(6-(5...  (+/-)-1,2-二癸酰甘油  1,2-二癸酰磷脂酰胆碱  1,2-二癸酰-Sn-甘油  (2-(1,3-二癸酰氧基)-...  1-二癸氧基磷酰氧基十一烷  二硅氧烷  1,4-二硅杂丁烷  二果糖酸酐 IV  二过氧癸二酸  二过氧癸二酸二叔丁酯  二过氧十二烷二酸二叔丁酯