全球化学品在线数据库

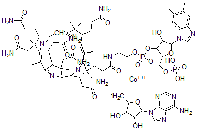
腺苷钴胺素5'-磷酸酯
[CAS 39044-48-9]

供应商
Leap Chem Co., Ltd. 中国
+86 (852) 3060-6658
market19@leapchem.com
QQ 交流
化学品供销商(2006 年起)
chemBlink 集群供应商(2022 年起)
基本信息
产品名称 腺苷钴胺素5'-磷酸酯
英文名 Adenosylcobalamin 5'-Phosphate
别名 Adocbl-5'P; Cobamamide 5'-Phosphate; Cobinamide, Co-(5'-Deoxyadenosine-5') Deriv., Hydroxide, Dihydrogen Phosphate (Ester), Inner Salt, 3'-Ester With 5,6-Dimethyl-1-(5-O-Phosphono-Alpha-D-Ribofuranosyl)-1H-Benzimidazole
分子结构 CAS 登录号:39044-48-9, 腺苷钴胺素5'-磷酸酯
分子式 C72H101CoN18O20P2
分子量 1659.58
CAS 登录号 39044-48-9
分子行输入简码 SMILES [Co+3].N1=C7C(C(C1(C2N=C(C(C2CC(=O)N)(CCC(=O)NCC(O[P](OC3C(O)C(OC3CO[P](=O)(O)O)[N]5C4=CC(=C(C=C4N=C5)C)C)([O-])=O)C)C)C(=C6N=C(C(C6CCC(=O)N)(C)C)[CH-]C8=NC(=C7C)C(C8CCC(=O)N)(CC(=O)N)C)C)C)(CC(=O)N)C)CCC(=O)N.[CH2-]C%11OC([N]%10C9=NC=NC(=C9N=C%10)N)C(O)C%11O
国际化学标识码 InChI 1S/C62H90N13O17P2.C10H12N5O3.Co/c1-29-20-39-40(21-30(29)2)75(28-70-39)57-52(83)53(41(90-57)27-89-93(84,85)86)92-94(87,88)91-31(3)26-69-49(82)18-19-59(8)37(22-46(66)79)56-62(11)61(10,25-48(68)81)36(14-17-45(65)78)51(74-62)33(5)55-60(9,24-47(67)80)34(12-15-43(63)76)38(71-55)23-42-58(6,7)35(13-16-44(64)77)50(72-42)32(4)54(59)73-56;1-4-6(16)7(17)10(18-4)15-3-14-5-8(11)12-2-13-9(5)15;/h20-21,23,28,31,34-37,41,52-53,56-57,83H,12-19,22,24-27H2,1-11H3,(H2,63,76)(H2,64,77)(H2,65,78)(H2,66,79)(H2,67,80)(H2,68,81)(H,69,82)(H,87,88)(H2,84,85,86);2-4,6-7,10,16-17H,1H2,(H2,11,12,13);/q2*-1;+3/p-1
国际化学标识检索码 InChIKey DMRQOCLCZRHBEY-UHFFFAOYSA-M
市场分析报告
相关产品
S-腺苷蛋氨酸  S-腺苷蛋氨酸  S-腺苷蛋氨酸 1,4-丁二磺...  S-腺苷蛋氨酸丁二磺酸盐  S-腺苷蛋氨酸对甲苯磺酸硫酸盐  腺苷单氟磷酸盐  腺苷调节素  腺苷地尔  腺苷高半胱氨酸水解酶  腺苷钴胺; 腺甙钴胺; 5,6...  腺苷钴啉醇酰胺甲基磷酸酯  (R)-腺苷环 2',3'-(...  (S)-腺苷环 3',5'-(...  腺苷环 3',5'-[(乙酰氧...  腺苷环-3',5'-(氢磷酸酯...  腺苷环磷酸酯; 腺甙环磷酸酯;...  N(4)-腺苷-N(4)-甲基...  S-腺苷甲硫氨酸对甲苯磺酸盐;...  腺苷焦磷酸酯-葡萄糖  S-腺苷-L-半胱氨酸