全球化学品在线数据库

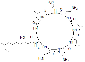
3-羟基-8-甲基-N-[(3S,6S,9S,12S,15S,18S,21S,24S)-6,9,18,21-四(2-氨基乙基)-3,12,15-三(2-甲基丙基)-2,5,8,11,14,17,20,23-八氧代-1,4,7,10,13,16,19,22-八氮杂环二十六碳-24-基]癸烷酰胺
[CAS 39342-08-0]

供应商
CAS#: 39342-08-0
产品: 3-羟基-8-甲基-N-[(3S,6S,9S,12S,15S,18S,21S,24S)-6,9,18,21-四(2-氨基乙基)-3,12,15-三(2-甲基丙基)-2,5,8,11,14,17,20,23-八氧代-1,4,7,10,13,16,19,22-八氮杂环二十六碳-24-基]癸烷酰胺
暂时没有厂家供应该产品。
基本信息
产品名称 3-羟基-8-甲基-N-[(3S,6S,9S,12S,15S,18S,21S,24S)-6,9,18,21-四(2-氨基乙基)-3,12,15-三(2-甲基丙基)-2,5,8,11,14,17,20,23-八氧代-1,4,7,10,13,16,19,22-八氮杂环二十六碳-24-基]癸烷酰胺
英文名 3-Hydroxy-8-Methyl-N-[(3S,6S,9S,12S,15S,18S,21S,24S)-6,9,18,21-Tetrakis(2-Aminoethyl)-3,12,15-Tris(2-Methylpropyl)-2,5,8,11,14,17,20,23-Octaoxo-1,4,7,10,13,16,19,22-Octazacyclohexacos-24-Yl]Decanamide
别名 3-Hydroxy-8-Methyl-N-[(3S,6S,9S,12S,15S,18S,21S,24S)-6,9,18,21-Tetrakis(2-Aminoethyl)-3,12,15-Triisobutyl-2,5,8,11,14,17,20,23-Octaoxo-1,4,7,10,13,16,19,22-Octazacyclohexacos-24-Yl]Decanamide; 3-Hydroxy-8-Methyl-N-[(3S,6S,9S,12S,15S,18S,21S,24S)-6,9,18,21-Tetrakis(2-Aminoethyl)-3,12,15-Triisobutyl-2,5,8,11,14,17,20,23-Octaketo-1,4,7,10,13,16,19,22-Octazacyclohexacos-24-Yl]Capramide; Antibiotic Em49
分子结构 CAS 登录号:39342-08-0, 3-羟基-8-甲基-N-[(3S,6S,9S,12S,15S,18S,21S,24S)-6,9,18,21-四(2-氨基乙基)-3,12,15-三(2-甲基丙基)-2,5,8,11,14,17,20,23-八氧代-1,4,7,10,13,16,19,22-八氮杂环二十六碳-24-基]癸烷酰胺
分子式 C49H93N13O10
分子量 1024.35
CAS 登录号 39342-08-0
分子行输入简码 SMILES [C@H]1(NC(=O)[C@@H](NC(=O)[C@@H](NC(=O)[C@@H](NC(=O)CC(O)CCCCC(CC)C)CCNC(=O)[C@@H](NC(=O)[C@@H](NC(=O)[C@@H](NC(=O)[C@@H](NC1=O)CC(C)C)CCN)CCN)CC(C)C)CCN)CCN)CC(C)C
国际化学标识码 InChI 1S/C49H93N13O10/c1-9-31(8)12-10-11-13-32(63)27-41(64)55-37-18-23-54-42(65)38(24-28(2)3)60-45(68)35(16-21-52)56-44(67)34(15-20-51)59-48(71)39(25-29(4)5)62-49(72)40(26-30(6)7)61-46(69)36(17-22-53)57-43(66)33(14-19-50)58-47(37)70/h28-40,63H,9-27,50-53H2,1-8H3,(H,54,65)(H,55,64)(H,56,67)(H,57,66)(H,58,70)(H,59,71)(H,60,68)(H,61,69)(H,62,72)/t31?,32?,33-,34-,35-,36-,37-,38-,39-,40-/m0/s1
国际化学标识检索码 InChIKey XXJAQSYTQPWWKU-QVRBQHTBSA-N
物理化学性质
密度 1.191g/cm3 (计算值)
沸点 1348.656°C at 760 mmHg (计算值)
闪点 769.439°C (计算值)
市场分析报告
相关产品
[(2S,3S)-3-羟基-8...  [(3R,7R)-7-羟基-8...  6-羟基-8-甲基-8-氮杂双...  (1R,2R,3S,5S)-3...  (1R,5R,6S)-6-羟基...  2-羟基-8-甲基-8-氮杂双...  (6E)-N-羟基-8-甲基-...  (8R)-5-羟基-8-甲基-...  4-羟基-8-甲基喹啉-3-羧...  4-羟基-8-甲基喹啉-3-羧...  (1R,3S,5E)-5-[(...  (1R,3S,5E)-5-[(...  5-羟基-8-甲氧基-2,2-...  5-羟基-8-甲氧基-2,9-...  4-羟基-8-甲氧基-2-苯基...  (2E)-3-(4-羟基-8-...  5-羟基-8-甲氧基-2-甲基...  4-羟基-8-甲氧基-2-甲基...  4-(4-羟基-8-甲氧基-2...  (1S,3S)-1-羟基-8-...