基本信息
| 产品名称 |
3-[(2-乙基-2-丙烯基)氧基亚氨基甲基]利福霉素 SV |
| 英文名 |
3-[(2-Ethyl-2-Propenyl)Oxyiminomethyl]Rifamycin SV |
| 别名 |
Brn 5418519; 2,7-(Epoxypentadeca(1,11,13)Trienimino)Naphtho(2,1-B)Furan-1,11(2H)-Dione, 3-Formyl-5,6,9,17,19,21-Hexahydroxy-23-Methoxy-2,4,12,16,18,20,22-Heptamethyl-, 21-Acetate, O-(2-Ethylprop-2-Enyl)Oxime |
|
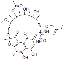
| 分子结构 |
![CAS 登录号:41776-62-9, 3-[(2-乙基-2-丙烯基)氧基亚氨基甲基]利福霉素 SV](/moreStructures/41776-62-9.gif) |
| 分子式 |
C43H56N2O13 |
| 分子量 |
808.92 |
| CAS 登录号 |
41776-62-9 |
| 分子行输入简码 SMILES |
C(ON/C=C2/C(=O)C1=C3C(=C(C4=C1C(=O)C(O/C=C/C(OC)C(C(OC(=O)C)C(C(O)C(C(O)C(C)\C=C\C=C(C(=O)NC2=C3O)\C)C)C)C)(O4)C)C)O)C(CC)=C |
| 国际化学标识码 InChI |
1S/C43H56N2O13/c1-12-20(2)19-56-44-18-28-33-38(51)31-30(37(28)50)32-40(26(8)36(31)49)58-43(10,41(32)52)55-17-16-29(54-11)23(5)39(57-27(9)46)25(7)35(48)24(6)34(47)21(3)14-13-15-22(4)42(53)45-33/h13-18,21,23-25,29,34-35,39,44,47-49,51H,2,12,19H2,1,3-11H3,(H,45,53)/b14-13+,17-16+,22-15-,28-18+ |
| 国际化学标识检索码 InChIKey |
JUASMYXCZAQXLV-AAECGSIOSA-N |
|