全球化学品在线数据库

3-[(2-甲基-2-丙烯基)氧基亚氨基甲基]利福霉素 SV
[CAS 41970-69-8]

供应商
CAS#: 41970-69-8
产品: 3-[(2-甲基-2-丙烯基)氧基亚氨基甲基]利福霉素 SV
暂时没有厂家供应该产品。
基本信息
产品名称 3-[(2-甲基-2-丙烯基)氧基亚氨基甲基]利福霉素 SV
英文名 3-[(2-Methyl-2-Propenyl)Oxyiminomethyl]Rifamycin SV
别名 3-Formylrifamycin Sv O-(2-Methylprop-2-Enyl)Oxime; Brn 5418389
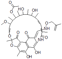
分子结构 CAS 登录号:41970-69-8, 3-[(2-甲基-2-丙烯基)氧基亚氨基甲基]利福霉素 SV
分子式 C42H54N2O13
分子量 794.89
CAS 登录号 41970-69-8
分子行输入简码 SMILES C(ON/C=C2/C(=O)C1=C3C(=C(C4=C1C(=O)C(O/C=C/C(OC)C(C(OC(=O)C)C(C(O)C(C(O)C(C)\C=C\C=C(C(=O)NC2=C3O)\C)C)C)C)(O4)C)C)O)C(C)=C
国际化学标识码 InChI 1S/C42H54N2O13/c1-19(2)18-55-43-17-27-32-37(50)30-29(36(27)49)31-39(25(8)35(30)48)57-42(10,40(31)51)54-16-15-28(53-11)22(5)38(56-26(9)45)24(7)34(47)23(6)33(46)20(3)13-12-14-21(4)41(52)44-32/h12-17,20,22-24,28,33-34,38,43,46-48,50H,1,18H2,2-11H3,(H,44,52)/b13-12+,16-15+,21-14-,27-17+
国际化学标识检索码 InChIKey YIEMBPILNJKWQA-VLVPNOHSSA-N
市场分析报告
相关产品
5-(2-甲基-2-丙烯基)-...  5-(1-甲基-2-丙烯基)-...  5-(2-甲基-2-丙烯基)-...  (2-甲基-2-丙烯基)琥珀酸...  5-(2-甲基-2-丙烯基)-...  (2-甲基-2-丙烯基)氯化镁  O-(2-甲基-2-丙烯基)羟...  O-(1-甲基-2-丙烯基)羟...  4-[(2-甲基-2-丙烯基)...  2-[(2-甲基-2-丙烯基)...  N-甲基-2-丙烯酰胺  4-甲基-2-丙氧基苯胺  B-(5-甲基-2-丙氧基苯基...  甲基2-丙氧基苯甲酸酯  4-甲基-2-丙氧基苯甲酰氯  N-甲基-2-吡嗪胺  3-甲基-2-吡嗪磺酰胺  (5-甲基-2-吡嗪基)(2-...  (1S,2R)-1-(5-甲基...  (1S)-1-(5-甲基-2-...