基本信息
| 产品名称 |
胸苷酰-(3',5')-2'-脱氧鸟苷 |
| 英文名 |
Thymidylyl-(3',5')-2'-Deoxyguanosine |
| 别名 |
[(2R,3S,5R)-5-(2-Amino-6-Oxo-3H-Purin-9-Yl)-3-Hydroxy-Tetrahydrofuran-2-Yl]Methyl [(2R,3R,5R)-3-(Hydroxymethyl)-5-(5-Methyl-2,4-Dioxo-Pyrimidin-1-Yl)Tetrahydrofuran-2-Yl] Hydrogen Phosphate; [(2R,3S,5R)-5-(2-Amino-6-Oxo-3H-Purin-9-Yl)-3-Hydroxy-2-Tetrahydrofuranyl]Methyl [(2R,3R,5R)-3-(Hydroxymethyl)-5-(5-Methyl-2,4-Dioxo-1-Pyrimidinyl)-2-Tetrahydrofuranyl] Hydrogen Phosphate; [(2R,3S,5R)-5-(2-Amino-6-Keto-3H-Purin-9-Yl)-3-Hydroxy-Tetrahydrofuran-2-Yl]Methyl [(2R,3R,5R)-5-(2,4-Diketo-5-Methyl-Pyrimidin-1-Yl)-3-Methylol-Tetrahydrofuran-2-Yl] Hydrogen Phosphate |
|
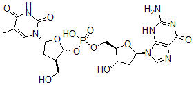
| 分子结构 |
 |
| 分子式 |
C20H26N7O11P |
| 分子量 |
571.44 |
| CAS 登录号 |
4251-20-1 |
| 分子行输入简码 SMILES |
[C@@H]1(C[C@@H](O[C@@H]1O[P](OC[C@H]4O[C@@H]([N]2C3=C(N=C2)C(=O)N=C(N3)N)C[C@@H]4O)(O)=O)N5C=C(C(=O)NC5=O)C)CO |
| 国际化学标识码 InChI |
1S/C20H26N7O11P/c1-8-4-26(20(32)25-16(8)30)12-2-9(5-28)18(37-12)38-39(33,34)35-6-11-10(29)3-13(36-11)27-7-22-14-15(27)23-19(21)24-17(14)31/h4,7,9-13,18,28-29H,2-3,5-6H2,1H3,(H,33,34)(H,25,30,32)(H3,21,23,24,31)/t9-,10+,11-,12-,13-,18-/m1/s1 |
| 国际化学标识检索码 InChIKey |
IBIDWGFEZKUPJD-FJLHAGFDSA-N |
|