全球化学品在线数据库

3-[2-(2-丁氧基乙氧基)乙氧基亚氨基甲基]利福霉素 Sv
[CAS 52370-32-8]

供应商
CAS#: 52370-32-8
产品: 3-[2-(2-丁氧基乙氧基)乙氧基亚氨基甲基]利福霉素 Sv
暂时没有厂家供应该产品。
基本信息
产品名称 3-[2-(2-丁氧基乙氧基)乙氧基亚氨基甲基]利福霉素 Sv
英文名 3-[2-(2-Butoxyethoxy)Ethoxyiminomethyl]Rifamycin Sv
别名 3-Formylrifamycin Sv O-(2-(Butoxyethoxy)Ethyl)Oxime; Brn 5418838
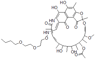
分子结构 CAS 登录号:52370-32-8, 3-[2-(2-丁氧基乙氧基)乙氧基亚氨基甲基]利福霉素 Sv
分子式 C46H64N2O15
分子量 885.02
CAS 登录号 52370-32-8
分子行输入简码 SMILES C(ON/C=C2/C(=O)C1=C3C(=C(C4=C1C(=O)C(O/C=C/C(OC)C(C(OC(=O)C)C(C(O)C(C(O)C(C)\C=C\C=C(C(=O)NC2=C3O)\C)C)C)C)(O4)C)C)O)COCCOCCCC
国际化学标识码 InChI 1S/C46H64N2O15/c1-11-12-17-58-19-20-59-21-22-61-47-23-31-36-41(54)34-33(40(31)53)35-43(29(7)39(34)52)63-46(9,44(35)55)60-18-16-32(57-10)26(4)42(62-30(8)49)28(6)38(51)27(5)37(50)24(2)14-13-15-25(3)45(56)48-36/h13-16,18,23-24,26-28,32,37-38,42,47,50-52,54H,11-12,17,19-22H2,1-10H3,(H,48,56)/b14-13+,18-16+,25-15-,31-23+
国际化学标识检索码 InChIKey GVBWMDXBZNOHSW-CMDUKVODSA-N
市场分析报告
相关产品
2-(2-丁氧基乙氧基)乙基棕...  (2-N-丁氧基乙氧基)乙酸  2-(2-丁氧基乙氧基)-乙酸...  4-[2-(2-丁氧基乙氧基)...  1-[2-(2-丁氧基乙氧基)...  1-[2-(2-丁氧基乙氧基)...  5-{1-[2-(2-丁氧基乙...  [2-(2-丁氧基乙氧基)乙氧...  2-[2-(2-丁氧基乙氧基)...  1-[2-[2-[2-(2-丁...  2-[2-丁氧基乙氧基]乙基硫...  丁氧基乙氧基丙酸钾  丁氧基乙氧基二甲基硅烷  2-(2-丁氧基乙氧基羰基甲氧...  啶氧菌酯; (E)-3-甲氧基...  丁氧卡因; 奥布卡因; 丁氧普...  3-(丁氧羰基)-1-甲基吡啶...  (2S,3S)-3-(丁氧羰基...  N-(丁氧羰基)-4-氨基-L...  N-(丁氧羰基)-4-氨基-L...