基本信息
| 产品名称 |
去氨基-高-精氨酰-加压素 |
| 英文名 |
Deamino-Homo-Arg-Vasopressin |
| 别名 |
1-[7-(2-Amino-2-Oxo-Ethyl)-10-(3-Amino-3-Oxo-Propyl)-16-[(4-Hydroxyphenyl)Methyl]-6,9,12,15,18-Pentaoxo-13-(Phenylmethyl)1,2-Dithia-5,8,11,14,17-Pentazacycloicosane-4-Carbonyl]-N-[1-[(2-Amino-2-Oxo-Ethyl)Carbamoyl]-5-Guanidino-Pentyl]Pyrrolidine-2-Carboxamide; N-[1-[[(2-Amino-2-Oxoethyl)Amino]-Oxomethyl]-5-Guanidinopentyl]-1-[[7-(2-Amino-2-Oxoethyl)-10-(3-Amino-3-Oxopropyl)-16-[(4-Hydroxyphenyl)Methyl]-6,9,12,15,18-Pentaoxo-13-(Phenylmethyl)-1,2-Dithia-5,8,11,14,17-Pentazacycloicos-4-Yl]-Oxomethyl]-2-Pyrrolidinecarboxamide; 1-[7-(2-Amino-2-Keto-Ethyl)-10-(3-Amino-3-Keto-Propyl)-13-(Benzyl)-16-(4-Hydroxybenzyl)-6,9,12,15,18-Pentaketo-1,2-Dithia-5,8,11,14,17-Pentazacycloicosane-4-Carbonyl]-N-[1-[(2-Amino-2-Keto-Ethyl)Carbamoyl]-5-Guanidino-Pentyl]Pyrrolidine-2-Carboxamide |
|
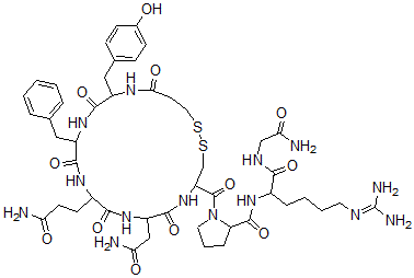
| 分子结构 |
 |
| 分子式 |
C47H66N14O12S2 |
| 分子量 |
1083.25 |
| CAS 登录号 |
52697-47-9 |
| 分子行输入简码 SMILES |
C4=C(CC1NC(=O)C(NC(=O)CCSSCC(NC(=O)C(NC(=O)C(NC1=O)CCC(=O)N)CC(=O)N)C(=O)N2C(CCC2)C(=O)NC(CCCCN=C(N)N)C(=O)NCC(=O)N)CC3=CC=C(O)C=C3)C=CC=C4 |
| 国际化学标识码 InChI |
1S/C47H66N14O12S2/c48-36(63)16-15-30-41(68)59-33(23-37(49)64)44(71)60-34(46(73)61-19-6-10-35(61)45(72)57-29(40(67)54-24-38(50)65)9-4-5-18-53-47(51)52)25-75-74-20-17-39(66)55-31(22-27-11-13-28(62)14-12-27)42(69)58-32(43(70)56-30)21-26-7-2-1-3-8-26/h1-3,7-8,11-14,29-35,62H,4-6,9-10,15-25H2,(H2,48,63)(H2,49,64)(H2,50,65)(H,54,67)(H,55,66)(H,56,70)(H,57,72)(H,58,69)(H,59,68)(H,60,71)(H4,51,52,53) |
| 国际化学标识检索码 InChIKey |
XOHWHKUGGYXGEB-UHFFFAOYSA-N |
|