全球化学品在线数据库

2-脱氧麦芽糖
[CAS 55601-96-2]

供应商
CAS#: 55601-96-2
产品: 2-脱氧麦芽糖
暂时没有厂家供应该产品。
基本信息
产品名称 2-脱氧麦芽糖
英文名 2-Deoxymaltose
别名 (3R,5R)-3,5,6-Trihydroxy-4-[(2R,3R,4S,5S,6R)-3,4,5-Trihydroxy-6-(Hydroxymethyl)Tetrahydropyran-2-Yl]Oxy-Hexanal; (3R,5R)-3,5,6-Trihydroxy-4-[[(2R,3R,4S,5S,6R)-3,4,5-Trihydroxy-6-(Hydroxymethyl)-2-Tetrahydropyranyl]Oxy]Hexanal; (3R,5R)-3,5,6-Trihydroxy-4-[(2R,3R,4S,5S,6R)-3,4,5-Trihydroxy-6-Methylol-Tetrahydropyran-2-Yl]Oxy-Hexanal
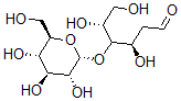
分子结构 CAS 登录号:55601-96-2, 2-脱氧麦芽糖
分子式 C12H22O10
分子量 326.30
CAS 登录号 55601-96-2
分子行输入简码 SMILES [C@H]1([C@@H]([C@H]([C@@H]([C@H](O1)CO)O)O)O)OC([C@@H](CC=O)O)[C@@H](CO)O
国际化学标识码 InChI 1S/C12H22O10/c13-2-1-5(16)11(6(17)3-14)22-12-10(20)9(19)8(18)7(4-15)21-12/h2,5-12,14-20H,1,3-4H2/t5-,6-,7-,8-,9+,10-,11?,12-/m1/s1
国际化学标识检索码 InChIKey LCIOULREYSZZRU-KFMRXTDRSA-N
市场分析报告
相关产品
6-脱氧-L-太洛醣  3-脱氧3-氯阿比特龙  2-脱氧-2-氯-D-甘露糖  2'-脱氧-2'-氯尿苷  5'-脱氧-5'-氯胸苷3'-...  5'-脱氧-5'-氯胸苷-3'...  2-脱氧-L-胸苷  2-脱氧-L-岩藻糖  4-脱氧-L-岩藻糖  2'-脱氧麦根酸  1-脱氧-1-吗啉基-D-果糖  2'-脱氧芒霉素  4'-脱氧霉菌素  26-脱氧莫能星A  2'-脱氧-N-(5,6-二氢...  2'-脱氧-N,5-二甲基-胞...  2'-脱氧-N,N,5-三甲基...  2'-脱氧-N-[(二甲基氨基...  脱氧-N-苄基去甲美他佐辛  5'-脱氧尿苷