全球化学品在线数据库

Damavaricin C
[CAS 58849-86-8]

供应商
CAS#: 58849-86-8
产品: Damavaricin C
暂时没有厂家供应该产品。
基本信息
产品名称 Damavaricin C
英文名 Damavaricin C
别名 Protostreptovaricin I, 10-Demethyl-14,21-Dihydroxy-10-(Methoxycarbonyl)-
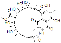
分子结构 CAS 登录号:58849-86-8, Damavaricin C
分子式 C37H47NO13
分子量 713.78
CAS 登录号 58849-86-8
分子行输入简码 SMILES CC1=C(O)C3=C2C(=C1O)C(=O)C(=C\C(O)(C(O)C(C(O)C(C(O)C(C(O)C(/C=C/C=C(C(=O)NC(=C(C2=O)C)C3=O)/C)C)C)C(OC)=O)C)C)/C
国际化学标识码 InChI 1S/C37H47NO13/c1-14-11-10-12-15(2)35(48)38-25-17(4)28(41)21-22(29(42)19(6)30(43)23(21)33(25)46)27(40)16(3)13-37(8,50)34(47)20(7)32(45)24(36(49)51-9)31(44)18(5)26(14)39/h10-14,18,20,24,26,31-32,34,39,42-45,47,50H,1-9H3,(H,38,48)/b11-10+,15-12-,16-13-
国际化学标识检索码 InChIKey JJOHNICSOMSGDB-POFLQIOTSA-N
市场分析报告
相关产品
达马树脂; 但马胶  达玛树脂-20(21)-烯-3...  大麻素 A  大麻素 D  大麻坦  大麻萜酚; (E)-2-(3,...  大麻萜酚酸  大麻提取物  大麻提取物  大马酮; 突厥酮; 1-(2,...  Damavaricin Fc ...  达玛烷  达玛烷-20(21),24-二...  (3beta,6alpha,1...  20(R)-达玛烷-3beta...  大麻烯  大麻酰胺 F  达玛烯二醇 II  大麻叶泽兰提取物  大麻折尼