全球化学品在线数据库

抗生素 38295
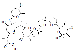
[CAS 59149-05-2]

供应商
CAS#: 59149-05-2
产品: 抗生素 38295
暂时没有厂家供应该产品。
基本信息
产品名称 抗生素 38295
英文名 Antibiotic 38295
别名 2-[(2S,4R,5R,6R)-4-Hydroxy-6-[(1R)-1-[(7S,9R,10R)-2-[5-[5-[(3S,4S,5R,6S)-6-Hydroxy-4-Methoxy-3,5,6-Trimethyl-Tetrahydropyran-2-Yl]Tetrahydrofuran-2-Yl]-5-Methyl-Tetrahydrofuran-2-Yl]-9-Methoxy-2,7,10-Trimethyl-1,6-Dioxaspiro[4.5]Decan-7-Yl]Ethyl]-5-[(2S,5S,6R)-5-Methoxy-6-Methyl-Tetrahydropyran-2-Yl]Oxy-5-Methyl-Tetrahydropyran-2-Yl]Propaneperoxoic Acid; 2-[(2S,4R,5R,6R)-4-Hydroxy-6-[(1R)-1-[(7S,9R,10R)-2-[5-[5-[(3S,4S,5R,6S)-6-Hydroxy-4-Methoxy-3,5,6-Trimethyl-2-Tetrahydropyranyl]-2-Tetrahydrofuranyl]-5-Methyl-2-Tetrahydrofuranyl]-9-Methoxy-2,7,10-Trimethyl-1,6-Dioxaspiro[4.5]Decan-7-Yl]Ethyl]-5-[[(2S,5S,6R)-5-Methoxy-6-Methyl-2-Tetrahydropyranyl]Oxy]-5-Methyl-2-Tetrahydropyranyl]Propaneperoxoic Acid; 2-[(2S,4R,5R,6R)-4-Hydroxy-6-[(1R)-1-[(7S,9R,10R)-2-[5-[5-[(3S,4S,5R,6S)-6-Hydroxy-4-Methoxy-3,5,6-Trimethyl-Tetrahydropyran-2-Yl]Tetrahydrofuran-2-Yl]-5-Methyl-Tetrahydrofuran-2-Yl]-9-Methoxy-2,7,10-Trimethyl-1,6-Dioxaspiro[4.5]Decan-7-Yl]Ethyl]-5-[(2S,5S,6R)-5-Methoxy-6-Methyl-Tetrahydropyran-2-Yl]Oxy-5-Methyl-Tetrahydropyran-2-Yl]Peroxypropionic Acid
分子结构 CAS 登录号:59149-05-2, 抗生素 38295
分子式 C48H82O16
分子量 915.17
CAS 登录号 59149-05-2
分子行输入简码 SMILES [C@@H]1(O[C@@H](C[C@@H](O)[C@]1(O[C@@H]2O[C@@H]([C@@H](OC)CC2)C)C)C(C(OO)=O)C)[C@H]([C@]7(OC6(OC(C3OC(CC3)(C5OC(C4O[C@](O)([C@@H]([C@@H](OC)[C@@H]4C)C)C)CC5)C)(CC6)C)[C@@H]([C@H](OC)C7)C)C)C
国际化学标识码 InChI 1S/C48H82O16/c1-25(42(50)62-52)33-23-35(49)46(10,60-38-18-16-31(53-12)30(6)56-38)41(58-33)29(5)45(9)24-34(54-13)27(3)48(64-45)22-21-44(8,63-48)37-19-20-43(7,59-37)36-17-15-32(57-36)40-26(2)39(55-14)28(4)47(11,51)61-40/h25-41,49,51-52H,15-24H2,1-14H3/t25?,26-,27+,28+,29+,30+,31-,32?,33-,34+,35+,36?,37?,38-,39-,40?,41+,43?,44?,45-,46+,47-,48?/m0/s1
国际化学标识检索码 InChIKey IQVROGAJHRXENX-HXLMOCOFSA-N
物理化学性质
密度 1.223g/cm3 (计算值)
沸点 877.752°C at 760 mmHg (计算值)
闪点 242.085°C (计算值)
市场分析报告
相关产品
糠醛-d4  3-糠醛二乙基缩醛  2-糠醛糠亚基腙  2-糠醛缩二乙醇; 2-呋喃甲...  钪三(2-丙醇)  钪三[(2Z)-1,1,1,5...  钪三氟化物  钪三高氯酸盐  钪三溴酸盐  抗生素 333-25  抗生素 A 130A  抗生素 A40926  抗生素 A447 C  抗生素 alpha-204A  抗生素 B 17  抗生素 BM 123a  抗生素 C 15003Pnd-...  抗生素 C 15003Pnd-...  抗生素 C 15003Pnd-...  抗生素 G 2A