全球化学品在线数据库

1-[1-[2-[4,7,10-三(羧甲基)-1,4,7,10-四氮杂环十二碳-1-基]乙酰基]-L-脯氨酸]-4-L-酪氨酸-蛙皮素
[CAS 593287-40-2]

供应商目录
Creative Peptides 美国
www.creative-peptides.com
+1 (631) 624-4882
+1 (631) 614-7828
info@creative-peptides.com
化学品生产商
chemBlink 标准供应商 (2010年起)

基本信息
产品分类生物化工 >> 多肽
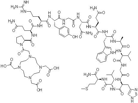
产品名称1-[1-[2-[4,7,10-三(羧甲基)-1,4,7,10-四氮杂环十二碳-1-基]乙酰基]-L-脯氨酸]-4-L-酪氨酸-蛙皮素
英文名1-[1-[2-[4,7,10-Tris(carboxymethyl)-1,4,7,10-tetraazacyclododec-1-yl]acetyl]-L-proline]-4-L-tyrosine-bombesin
分子结构1-[1-[2-[4,7,10-三(羧甲基)-1,4,7,10-四氮杂环十二碳-1-基]乙酰基]-L-脯氨酸]-4-L-酪氨酸-蛙皮素分子结构 (CAS 593287-40-2)
分子式C90H136N28O25S
分子量2042.28
CAS 登录号593287-40-2
物理化学性质
密度1.50±0.1 g/cm3 (20 °C 760 Torr), 计算值*
*使用计算机软件 Advanced Chemistry Development (ACD/Labs) Software V11.02 (©1994-2016 ACD/Labs)
市场分析报告
相关产品
三(四丁基铵)焦磷酸盐  三(四甲基环戊二烯)铈  三(四甲基环戊二烯基)钆  三(四甲基环戊二烯基)钐  三(四甲基环戊二烯基)铽  三(四甲基环戊二烯基)铕(II...  三(四硫杂富瓦烯)二(四氟硼酸...  三(四氢呋喃)钒三氯化物  三(四氢糠基)磷酸酯  N-[[4,7,10-三(羧甲...  N-[2-[4,7,10-三(...  N-[[4,8,11-三(羧甲...  2-[4,7,10-三(羧甲基...  3,3',3'',3'''-[...  3,8,13-三(羧甲基)-1...  3,3',3'',3'''-[...  2-[4,7,10-三(羧甲基...  6,9,12-三(羧甲基)-4...  (1R-(1alpha,2al...  N,N,S-三(羧甲基)半胱胺...