全球化学品在线数据库

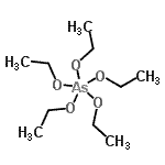
戊乙氧基砷烷
[CAS 5954-41-6]

供应商
Achemica 瑞士
+41 (24) 466-2929
contact@achemica.com
化学品生产商(2010 年起)
基本信息
产品名称 戊乙氧基砷烷
英文名 Pentaethoxyarsorane
分子结构 CAS 登录号:5954-41-6, 戊乙氧基砷烷
分子式 C10H25AsO5
分子量 300.22
CAS 登录号 5954-41-6
分子行输入简码 SMILES O(CC)[As](OCC)(OCC)(OCC)OCC
国际化学标识码 InChI 1S/C10H25AsO5/c1-6-12-11(13-7-2,14-8-3,15-9-4)16-10-5/h6-10H2,1-5H3
国际化学标识检索码 InChIKey SZTBDRDGFFXOCM-UHFFFAOYSA-N
市场分析报告
相关产品
alpha-D-五乙酰甘露糖  2-O,3-O,4-O,5-O...  五乙酰基-alpha-D-吡喃...  1,2,3,4,6-O-五乙酰...  1-O,3-O,4-O,5-O...  2,4,7,8,9-五乙酰基-...  五乙酰基京尼平苷  1,3,5,7,9-五乙烯基-...  五乙烯六胺  五乙氧基膦烷  五月牛蒡提取物  乌贼黑 (染料)  乌扎拉苷  P 物质  1-9-P 物质  1-7-P 物质  物质 P  物质 P (2-11)  物质 P (3-11)  物质 P (4-11)