| 卡博森斯化学科技 (苏州) 有限公司 | 中国 | |||
|---|---|---|---|---|
![]() |
+86 (512) 6260-5585 | |||
![]() |
sales@carbosynth.com | |||
![]() |
QQ 交流 | |||
| 化学品生产商(2006 年起) 化学品供销商(2006 年起) | ||||
| chemBlink 集群供应商(2016 年起) | ||||
| Biosynth AG. | 瑞士 | |||
|---|---|---|---|---|
![]() |
+41 (71) 858-2020 | |||
![]() |
welcome@biosynth.ch | |||
| 化学品生产商 | ||||
| Glentham Life Sciences | 英国 | |||
|---|---|---|---|---|
![]() |
+44 (2033) 978-798 | |||
![]() |
info@glenthamls.com | |||
| 化学品供销商(2013 年起) | ||||
| 产品名称 | 异麦芽五糖 |
|---|---|
| 英文名 | Isomaltopentaose |
| 别名 | (2R,3S,4R,5R)-6-Hydroxy-2,3,4,5-Tetrakis[[(2R,3R,4S,5S,6R)-3,4,5-Trihydroxy-6-(Hydroxymethyl)Tetrahydropyran-2-Yl]Oxy]Hexanal; (2R,3S,4R,5R)-6-Hydroxy-2,3,4,5-Tetrakis[[(2R,3R,4S,5S,6R)-3,4,5-Trihydroxy-6-(Hydroxymethyl)-2-Tetrahydropyranyl]Oxy]Hexanal; (2R,3S,4R,5R)-6-Hydroxy-2,3,4,5-Tetrakis[[(2R,3R,4S,5S,6R)-3,4,5-Trihydroxy-6-Methylol-Tetrahydropyran-2-Yl]Oxy]Hexanal |
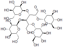
| 分子结构 | ![]() |
| 分子式 | C30H52O26 |
| 分子量 | 828.73 |
| CAS 登录号 | 6082-32-2 |
| 分子行输入简码 SMILES | [C@@H](C=O)(O[C@@H]1[C@H](O)[C@@H](O)[C@H](O)[C@H](O1)CO)[C@@H](O[C@@H]2[C@H](O)[C@@H](O)[C@H](O)[C@H](O2)CO)[C@H](O[C@@H]3[C@H](O)[C@@H](O)[C@H](O)[C@H](O3)CO)[C@H](O[C@@H]4[C@H](O)[C@@H](O)[C@H](O)[C@H](O4)CO)CO |
| 国际化学标识码 InChI | 1S/C30H52O26/c31-1-7-13(37)17(41)21(45)27(49-7)53-11(5-35)25(55-29-23(47)19(43)15(39)9(3-33)51-29)26(56-30-24(48)20(44)16(40)10(4-34)52-30)12(6-36)54-28-22(46)18(42)14(38)8(2-32)50-28/h5,7-34,36-48H,1-4,6H2/t7-,8-,9-,10-,11+,12-,13-,14-,15-,16-,17+,18+,19+,20+,21-,22-,23-,24-,25-,26-,27-,28-,29-,30-/m1/s1 |
| 国际化学标识检索码 InChIKey | ZFGVMMVMFNPHAQ-XAKZEXHGSA-N |
| 密度 | 1.82g/cm3 (计算值) |
|---|---|
| 沸点 | 1269.799°C at 760 mmHg (计算值) |
| 闪点 | 390.419°C (计算值) |
| 市场分析报告 |