全球化学品在线数据库

N-[N-[N-[[(4-硝基苯基)甲氧基]羰基]甘氨酰]-L-色氨酰]-甘氨酸
[CAS 64792-79-6]

供应商
Alfa Chemistry 美国
+1 (201) 478-8534
inquiry@alfa-chemistry.com
化学品供销商(2012 年起)
chemBlink 标准供应商(2012 年起)
BOC Sciences 美国
+1 (631) 485-4226
info@bocsci.com
Skype 聊天
化学品供销商
chemBlink 集群供应商(2012 年起)
Creative Peptides 美国
+1 (631) 624-4882
info@creative-peptides.com
化学品生产商
chemBlink 集群供应商(2016 年起)
基本信息
产品名称 N-[N-[N-[[(4-硝基苯基)甲氧基]羰基]甘氨酰]-L-色氨酰]-甘氨酸
英文名 N-[N-[N-[[(4-Nitrophenyl)Methoxy]Carbonyl]Glycyl]-L-Tryptophyl]-Glycine
别名 2-[[(2S)-3-(1H-Indol-3-Yl)-2-[[2-[[(4-Nitrophenyl)Methoxy-Oxomethyl]Amino]-1-Oxoethyl]Amino]-1-Oxopropyl]Amino]Acetic Acid; 2-[[(2S)-3-(1H-Indol-3-Yl)-2-[[2-[(4-Nitrobenzyl)Oxycarbonylamino]Acetyl]Amino]Propanoyl]Amino]Acetic Acid; 2-[[(2S)-3-(1H-Indol-3-Yl)-2-[2-[(4-Nitrophenyl)Methoxycarbonylamino]Ethanoylamino]Propanoyl]Amino]Ethanoic Acid
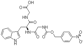
分子结构 CAS 登录号:64792-79-6, N-[N-[N-[[(4-硝基苯基)甲氧基]羰基]甘氨酰]-L-色氨酰]-甘氨酸
分子式 C23H23N5O8
分子量 497.46
CAS 登录号 64792-79-6
分子行输入简码 SMILES [C@H](C(NCC(=O)O)=O)(NC(CNC(=O)OCC1=CC=C(C=C1)[N+](=O)[O-])=O)CC2=C[NH]C3=CC=CC=C23
国际化学标识码 InChI 1S/C23H23N5O8/c29-20(11-26-23(33)36-13-14-5-7-16(8-6-14)28(34)35)27-19(22(32)25-12-21(30)31)9-15-10-24-18-4-2-1-3-17(15)18/h1-8,10,19,24H,9,11-13H2,(H,25,32)(H,26,33)(H,27,29)(H,30,31)/t19-/m0/s1
国际化学标识检索码 InChIKey FSSVAHQZIUZYJR-IBGZPJMESA-N
蛋白质序列 4-Nitro-Z-Gly-Trp-Gly-OH
物理化学性质
密度 1.455g/cm3 (计算值)
沸点 965.362°C at 760 mmHg (计算值)
闪点 537.632°C (计算值)
市场分析报告
相关产品
N-[(4-硝基苯基)-甲基磺...  (4-硝基苯基)甲基N-[(E...  (4-硝基苯基)甲基-三苯基鏻...  (2-硝基苯基)甲基乙酸酯  (4-硝基苯基)甲烷二醇  1-(3-硝基苯基)甲烷磺酰胺  N-(4-硝基苯基)甲酰胺  N-(3-硝基苯基)-甲酰胺  4-[(4-硝基苯基)甲氧基]...  N2-[[(4-硝基苯基)甲氧...  N6-[[(4-硝基苯基)甲氧...  2-[(3-硝基苯基)甲氧基]...  (2-硝基苯基)肼  1-(4-硝基苯基)金刚烷  3-(4-硝基苯基)金刚烷-1...  N-(4-硝基苯基)井冈霉烯胺  2-(4-硝基苯基)肼甲醛  (3-硝基苯基)肼氯化物  2-(4-硝基苯基)-肼羧酸叔...  5-(4-硝基苯基)糠醇