全球化学品在线数据库

单端孢霉毒素 A40
[CAS 65216-21-9]

供应商
CAS#: 65216-21-9
产品: 单端孢霉毒素 A40
暂时没有厂家供应该产品。
基本信息
产品名称 单端孢霉毒素 A40
英文名 Trichotoxin A40
别名 Trichotoxin A 40
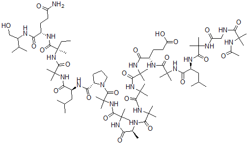
分子结构 CAS 登录号:65216-21-9, 单端孢霉毒素 A40
分子式 C80H139N19O22
分子量 1719.09
CAS 登录号 65216-21-9
分子行输入简码 SMILES [C@@H]1(N(C(=O)C(NC(=O)C(NC(=O)[C@@H](NC(=O)C(NC(=O)C(NC(=O)C(NC(=O)[C@@H](NC(=O)C(NC(=O)[C@@H](NC(=O)C(NC(=O)CNC(=O)C(NC(=O)C)(C)C)(C)C)CC(C)C)(C)C)CCC(=O)O)(C)C)(C)C)(C)C)C)(C)C)(C)C)CCC1)C(=O)N[C@H](C(=O)NC(C(=O)N[C@@](C(=O)N[C@H](C(=O)NC(C(C)C)CO)CCC(=O)N)(CC)C)(C)C)CC(C)C
国际化学标识码 InChI 1S/C80H139N19O22/c1-29-80(28,69(120)87-46(32-34-52(81)102)56(107)85-50(40-100)43(6)7)98-68(119)77(22,23)94-58(109)48(37-41(2)3)84-60(111)51-31-30-36-99(51)70(121)79(26,27)97-66(117)75(18,19)91-55(106)44(8)83-62(113)74(16,17)95-67(118)78(24,25)96-65(116)76(20,21)92-57(108)47(33-35-54(104)105)86-64(115)73(14,15)93-59(110)49(38-42(4)5)88-63(114)72(12,13)90-53(103)39-82-61(112)71(10,11)89-45(9)101/h41-44,46-51,100H,29-40H2,1-28H3,(H2,81,102)(H,82,112)(H,83,113)(H,84,111)(H,85,107)(H,86,115)(H,87,120)(H,88,114)(H,89,101)(H,90,103)(H,91,106)(H,92,108)(H,93,110)(H,94,109)(H,95,118)(H,96,116)(H,97,117)(H,98,119)(H,104,105)/t44-,46-,47-,48-,49-,50?,51-,80+/m0/s1
国际化学标识检索码 InChIKey NAMGSIXOXMZHEM-LVRWUTNGSA-N
市场分析报告
相关产品
单丁基马来酸酯-乙烯基甲基醚共...  单丁基三异辛酸锡; 三(2-乙...  单丁基锡三(2-羟基乙基硫醇盐...  单丁基氧化锡  N(6)-单丁酰基-2'-脱氧...  N6-单丁酰基-2'-脱氧腺苷...  单丁酰基环鸟苷酸  N2-单丁酰基鸟苷 3',5'...  N6-单丁酰基腺苷-3',5'...  单-丁酯-封端的 1,6-二异...  单端孢霉烯  胆蒽  胆蒽-9,10-二醇  胆蒽-9,10-二醇-7,8-...  丹酚酸 A; (2R)-3-(...  丹酚酸 B  9''-丹酚酸 B 甲基酯  9'''-丹酚酸 B 甲基酯  丹酚酸 C  丹酚酸 D