全球化学品在线数据库

人生长激素 (177-191)
[CAS 66004-58-8]

供应商
Alfa Chemistry 美国
+1 (201) 478-8534
inquiry@alfa-chemistry.com
化学品供销商(2012 年起)
chemBlink 标准供应商(2012 年起)
BOC Sciences 美国
+1 (631) 485-4226
info@bocsci.com
Skype 聊天
化学品供销商
chemBlink 集群供应商(2012 年起)
基本信息
产品名称 人生长激素 (177-191)
英文名 Human growth hormone (177-191)
别名 Human Growth Hormone (177-191); L-Phenylalanine, L-Leucyl-L-Arginyl-L-Isoleucyl-L-Valyl-L-Glutaminyl-L-Cysteinyl-L-Arginyl-L-Seryl-L-Valyl-L-Alpha-Glutamylglycyl-L-Seryl-L-Cysteinylglycyl-, Cyclic (6-13)-Disulfide; Somatotropin (177-191)
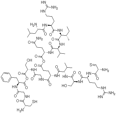
分子结构 CAS 登录号:66004-58-8, 人生长激素 (177-191)
分子式 C69H114N22O21S2
分子量 1651.91
CAS 登录号 66004-58-8
分子行输入简码 SMILES [C@H](C(=O)OC([C@@H](NC(CNC([C@@H](NC([C@@H](NC([C@@H](NC([C@@H](NC([C@@H](N)C=S)=O)CCCNC(=N)N)=O)CO)=O)C(C)C)=O)CCC(=O)OC([C@@H](NC([C@@H](NC([C@@H](NC([C@@H](NC([C@@H](N)CC(C)C)=O)CCCNC(=N)N)=O)[C@H](CC)C)=O)C(C)C)=O)CCC(=O)N)=O)=O)=O)CO)=O)(NC(CNC([C@@H](N)CS)=O)=O)CC1=CC=CC=C1
国际化学标识码 InChI 1S/C69H114N22O21S2/c1-9-36(8)54(91-60(103)42(18-14-24-79-69(76)77)84-56(99)38(70)25-33(2)3)64(107)90-53(35(6)7)63(106)87-44(19-21-48(73)94)65(108)111-51(97)22-20-43(86-62(105)52(34(4)5)89-61(104)46(29-92)88-59(102)41(17-13-23-78-68(74)75)85-57(100)40(72)32-114)58(101)81-28-50(96)83-47(30-93)67(110)112-66(109)45(26-37-15-11-10-12-16-37)82-49(95)27-80-55(98)39(71)31-113/h10-12,15-16,32-36,38-47,52-54,92-93,113H,9,13-14,17-31,70-72H2,1-8H3,(H2,73,94)(H,80,98)(H,81,101)(H,82,95)(H,83,96)(H,84,99)(H,85,100)(H,86,105)(H,87,106)(H,88,102)(H,89,104)(H,90,107)(H,91,103)(H4,74,75,78)(H4,76,77,79)/t36-,38-,39-,40-,41-,42-,43-,44-,45-,46-,47-,52-,53-,54-/m0/s1
国际化学标识检索码 InChIKey CTQNLXWEQXSGSA-YBHXOQPNSA-N
物理化学性质
密度 1.47g/cm3 (计算值)
市场分析报告
相关产品
7-壬炔酸  3-壬炔酸  5-壬炔酸  2-壬炔酸甲酯  8-壬炔酸甲酯  2-壬炔酸乙酯  人绒毛膜促性腺激素, beta...  3,5,7-壬三烯-2-酮  2,4,6-壬三烯醛  2,4,6-壬三烯醛  16-妊娠双烯醇酮; 3bet...  人嗜中性白细胞肽 3  人丝裂原活化蛋白激酶  壬酸  壬酸 1,1'-酸酐  壬酸 5-溴-4-氯-1H-吲...  壬酸丁酯  壬酸庚酯  壬酸磺苯酯钠盐  壬酸钾盐