全球化学品在线数据库

二亚乙基三胺五亚甲基膦酸七钠盐
[CAS 68155-78-2]

供应商目录
山东省泰和水处理有限公司 中国
www.thwater.net
+86 (632) 511-3066
+86 (632) 346-0156
th@thwater.com
化学品生产商
chemBlink 标准供应商 (2008年起)
厦门志信化学有限公司 中国
www.simagchem.com
+86 13806087780
+86 (592) 268-0237
sale@simagchem.com
化学品生产商 (2002年起)
chemBlink 标准供应商 (2008年起)
合肥天健化工有限公司 中国
www.tnjchem.com
+86 (551) 6541-8684
+86 (551) 6541-8697
sales@tnjchem.com
化学品生产商 (2001年起)
chemBlink 标准供应商 (2010年起)
BOC Sciences 美国
www.bocsci.com
+1 (631) 485-4226
+1 (631) 614-7828
info@bocsci.com
化学品生产商
chemBlink 标准供应商 (2010年起)
Riverland Trading LLC. 美国
www.riverlandtrading.com
+1 (336).944-2293
bens@riverlandtrading.com
化学品供销商
chemBlink 标准供应商 (2023年起)
Changzhou Yao's Tongde Chemical Co., Ltd. 中国
www.watercondipioning.com
+86 (519) 8873-3208
8893-2391
+86 (519) 8873-2040
info@watercondipioning.com
化学品生产商
枣庄市鑫泰水处理技术有限公司 中国
www.xintaiwater.com
+86 (632) 346-1066
+86 (632) 346-1077
xintaiwater@163.com
化学品生产商

基本信息
产品名称二亚乙基三胺五亚甲基膦酸七钠盐
英文名Diethylenetriamine penta(methylene phosphonic acid) heptasaodium salt
别名DTPMP heptasaodium salt
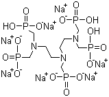
分子结构二亚乙基三胺五亚甲基膦酸七钠盐分子结构 (CAS 68155-78-2)
分子式C9H21N3Na7O15P5
分子量727.07
CAS 登录号68155-78-2
EC 号码268-990-9
安全数据
危害分类
up    说明
危害分类类别码危害标签
眼刺激Eye Irrit.2H319
严重眼损伤Eye Dam.1H318
眼刺激Eye Irrit.2H320
对水生环境长期有害Aquatic Chronic2H411
对金属有腐蚀作用的物质或混合物Met. Corr.1H290
皮肤刺激Skin Irrit.2H315
市场分析报告
相关产品
二亚硝基甘脲  N,N-二亚硝基高哌嗪  (+)-N,N'-二亚硝基-N...  1,4-二亚硝基-哌嗪  1,4-二亚硝基哌嗪-d8  N,N-二亚硝基-p-苯二胺-...  N,N-二亚硝基-p-苯二胺-...  二亚硝酰基六氯锡酸盐  二亚硝酰基铁络合物  2,3:4,6-二亚异丙基-2...  [5-[(4,6-二亚乙基亚氨...  二亚油酸钡  1,2-二亚油酸甘油酯  二亚油酸钴  二亚油酸铝  二亚油酸锰  二亚油酸锡  二叶草素  耳叶苔内酯  二椰油基烷基胺