基本信息
| 产品名称 |
6,6'-二-(8Xi,9Xi,14Xi,17Xi)-胆甾-5-烯-3-基1,1'-(1,2-乙二基)二己二酸酯 |
| 英文名 |
6,6'-Di-(8xi,9xi,14xi,17xi)-cholest-5-en-3-yl 1,1'-(1,2-ethanediyl) dihexanedioate |
| 别名 |
6,6'-Di-(8ξ,9ξ,14ξ,17ξ)-cholest-5-en-3-yl 1,1'-(1,2-ethanediyl) dihexanedioate; 6,6'-Di-(8ξ,9ξ,14ξ,17ξ)-cholest-5-en-3-yl-1,1'-(1,2-ethandiyl)-dihexandioat; Dihexanedioate de 6,6'-di-(8ξ,9ξ,14ξ,17ξ)-cholest-5-én-3-yle et de 1,1'-(1,2-éthanediyle) |
|
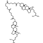
| 分子结构 |
 |
| 分子式 |
C68H110O8 |
| 分子量 |
1055.60 |
| CAS 登录号 |
69068-97-9 |
| 分子行输入简码 SMILES |
C[C@H](CCCC(C)C)C1CCC2[C@@]1(CCC3C2CC=C4[C@@]3(CCC(C4)OC(=O)CCCCC(=O)OCCOC(=O)CCCCC(=O)OC5CC[C@@]6(C7CC[C@]8(C(C7CC=C6C5)CCC8[C@H](C)CCCC(C)C)C)C)C)C |
| 国际化学标识码 InChI |
1S/C68H110O8/c1-45(2)17-15-19-47(5)55-29-31-57-53-27-25-49-43-51(33-37-65(49,7)59(53)35-39-67(55,57)9)75-63(71)23-13-11-21-61(69)73-41-42-74-62(70)22-12-14-24-64(72)76-52-34-38-66(8)50(44-52)26-28-54-58-32-30-56(48(6)20-16-18-46(3)4)68(58,10)40-36-60(54)66/h25-26,45-48,51-60H,11-24,27-44H2,1-10H3/t47-,48-,51?,52?,53?,54?,55?,56?,57?,58?,59?,60?,65+,66+,67-,68-/m1/s1 |
| 国际化学标识检索码 InChIKey |
FRJKPSUWOMDJAH-IGBFPHMGSA-N |
|