全球化学品在线数据库

4-(2,6-二氯-alpha-(4-亚氨基-3,5-二甲基-2,5-环己二烯-1-亚基)苄基)-2,6-二甲苯胺磷酸二氢酯化合物与异丙醇
[CAS 73398-72-8]

供应商
CAS#: 73398-72-8
产品: 4-(2,6-二氯-alpha-(4-亚氨基-3,5-二甲基-2,5-环己二烯-1-亚基)苄基)-2,6-二甲苯胺磷酸二氢酯化合物与异丙醇
暂时没有厂家供应该产品。
基本信息
产品名称 4-(2,6-二氯-alpha-(4-亚氨基-3,5-二甲基-2,5-环己二烯-1-亚基)苄基)-2,6-二甲苯胺磷酸二氢酯化合物与异丙醇
英文名 4-(2,6-dichloro-alpha-(4-imino-3,5-dimethyl-2,5-cyclohexadien-1-ylidene)benzyl)-2,6-Xylidine dihydrogen phosphate compd. with isopropanol
别名 4-[(2,6-Dichlorophenyl)-(4-Imino-3,5-Dimethyl-1-Cyclohexa-2,5-Dienylidene)Methyl]-2,6-Dimethyl-Aniline; 4-[(2,6-Dichlorophenyl)-(4-Imino-3,5-Dimethyl-1-Cyclohexa-2,5-Dienylidene)Methyl]-2,6-Dimethyl-Aniline; Phosphoric Acid; Propan-2-Ol; [4-[(2,6-Dichlorophenyl)-(4-Imino-3,5-Dimethyl-1-Cyclohexa-2,5-Dienylidene)Methyl]-2,6-Dimethyl-Phenyl]Amine; [4-[(2,6-Dichlorophenyl)-(4-Imino-3,5-Dimethyl-1-Cyclohexa-2,5-Dienylidene)Methyl]-2,6-Dimethyl-Phenyl]Amine
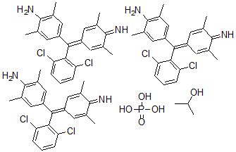
分子结构 CAS 登录号:73398-72-8, 4-(2,6-二氯-alpha-(4-亚氨基-3,5-二甲基-2,5-环己二烯-1-亚基)苄基)-2,6-二甲苯胺磷酸二氢酯化合物与异丙醇
分子式 C72H77Cl6N6O5P
分子量 1350.13
CAS 登录号 73398-72-8
分子行输入简码 SMILES C3=C(C(C1=C(Cl)C=CC=C1Cl)=C2C=C(C(=N)C(=C2)C)C)C=C(C(=C3C)N)C.C6=C(C(C4=C(Cl)C=CC=C4Cl)=C5C=C(C(=N)C(=C5)C)C)C=C(C(=C6C)N)C.C9=C(C(C7=C(Cl)C=CC=C7Cl)=C8C=C(C(=N)C(=C8)C)C)C=C(C(=C9C)N)C.O=[P](O)(O)O.OC(C)C
国际化学标识码 InChI 1S/3C23H22Cl2N2.C3H8O.H3O4P/c3*1-12-8-16(9-13(2)22(12)26)20(21-18(24)6-5-7-19(21)25)17-10-14(3)23(27)15(4)11-17;1-3(2)4;1-5(2,3)4/h3*5-11,26H,27H2,1-4H3;3-4H,1-2H3;(H3,1,2,3,4)
国际化学标识检索码 InChIKey RFTBTXUBQBDLGL-UHFFFAOYSA-N
市场分析报告
相关产品
2,6-二氯-9-硫杂双环(3...  3,4alpha-二氯-9-偶...  2,8-二氯-9-羟基-3-甲...  2,7-二氯-9-芴酮  2,6-二氯-9-异丙基-9H...  alpha,alpha-二氯-...  alpha,alpha-二氯-...  2,6-二氯-alpha-(4...  2,6-二氯-alpha-(4...  2,6-二氯-alpha-(4...  2,3-二氯-alpha-(2...  3,4-二氯-alpha-(环...  (alphaR)-2,4-二氯...  (alphaS)-3,4-二氯...  (S)-2,4-二氯-alph...  2,4-二氯-alpha-(氯...  2,4-二氯-alpha-(氯...  3,5-二氯-alpha,al...  2,4-二氯-alpha-[(...  2,4-二氯-alpha-[(...