全球化学品在线数据库

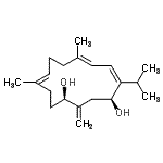
(1R,4S,5Z,7E)-5-异丙基-8,12-二甲基-2-亚甲基-5,7,11-环十四碳三烯-1,4-二醇
[CAS 77393-99-8]

供应商
Achemica 瑞士
+41 (24) 466-2929
contact@achemica.com
化学品生产商(2010 年起)
基本信息
产品名称 (1R,4S,5Z,7E)-5-异丙基-8,12-二甲基-2-亚甲基-5,7,11-环十四碳三烯-1,4-二醇
英文名 (1R,4S,5Z,7E)-5-Isopropyl-8,12-dimethyl-2-methylene-5,7,11-cyclotetradecatriene-1,4-diol
分子结构 CAS 登录号:77393-99-8, (1R,4S,5Z,7E)-5-异丙基-8,12-二甲基-2-亚甲基-5,7,11-环十四碳三烯-1,4-二醇
分子式 C20H32O2
分子量 304.47
CAS 登录号 77393-99-8
分子行输入简码 SMILES CC(C)C\1=C\C=C(/C)CC\C=C(/C)CC[C@@H](O)C(=C)C[C@@H]/1O
国际化学标识码 InChI 1S/C20H32O2/c1-14(2)18-11-9-15(3)7-6-8-16(4)10-12-19(21)17(5)13-20(18)22/h8-9,11,14,19-22H,5-7,10,12-13H2,1-4H3/b15-9+,16-8+,18-11-/t19-,20+/m1/s1
国际化学标识检索码 InChIKey QJGONFJNEZKXTN-CZZGWDRUSA-N
物理化学性质
密度 0.982g/cm3 (计算值)
沸点 453.368°C at 760 mmHg (计算值)
闪点 200.3°C (计算值)
市场分析报告
相关产品
2-异丙基-7-甲氧基-1,3...  2-异丙基-7-甲氧基萘  5-异丙基-7-三氟甲基-吡唑...  2-异丙基-7-亚甲基双环[2...  5-异丙基-7-亚甲基双环[3...  4-异丙基-7-氧代-1,3,...  5-异丙基-7-氧代-1,3,...  1-异丙基-7-氧杂双环[4....  (1R,2R,4S,6S)-4...  2-异丙基-8-(1-甲氧基乙...  7-异丙基-8,8-二甲基-6...  3-异丙基-8-丙酰基-3,8...  异丙基8-氟-1,1-二甲基-...  3-异丙基-8-甲基-1,5-...  2-异丙基-8-甲基-5,6,...  5-异丙基-8-甲基-7-喹啉...  3-异丙基-8-甲基-8-氮杂...  3-异丙基-8-甲基-8-氮杂...  [R-(Z)]-5-异丙基-8...  6-异丙基-8-甲基双环(2....