全球化学品在线数据库

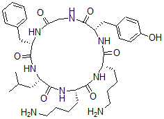
(3S,6S,9S,12S,15S)-6,9-二(4-氨基丁基)-3-[(4-羟基苯基)甲基]-12-(2-甲基丙基)-15-(苯基甲基)-1,4,7,10,13,16-六氮杂环十八烷-2,5,8,11,14,17-六酮
[CAS 79525-56-7]

供应商
CAS#: 79525-56-7
产品: (3S,6S,9S,12S,15S)-6,9-二(4-氨基丁基)-3-[(4-羟基苯基)甲基]-12-(2-甲基丙基)-15-(苯基甲基)-1,4,7,10,13,16-六氮杂环十八烷-2,5,8,11,14,17-六酮
暂时没有厂家供应该产品。
基本信息
产品名称 (3S,6S,9S,12S,15S)-6,9-二(4-氨基丁基)-3-[(4-羟基苯基)甲基]-12-(2-甲基丙基)-15-(苯基甲基)-1,4,7,10,13,16-六氮杂环十八烷-2,5,8,11,14,17-六酮
英文名 (3S,6S,9S,12S,15S)-6,9-Bis(4-Aminobutyl)-3-[(4-Hydroxyphenyl)Methyl]-12-(2-Methylpropyl)-15-(Phenylmethyl)-1,4,7,10,13,16-Hexazacyclooctadecane-2,5,8,11,14,17-Hexone
别名 (3S,6S,9S,12S,15S)-6,9-Bis(4-Aminobutyl)-3-[(4-Hydroxyphenyl)Methyl]-12-Isobutyl-15-(Phenylmethyl)-1,4,7,10,13,16-Hexazacyclooctadecane-2,5,8,11,14,17-Hexone; (3S,6S,9S,12S,15S)-6,9-Bis(4-Aminobutyl)-15-(Benzyl)-3-(4-Hydroxybenzyl)-12-Isobutyl-1,4,7,10,13,16-Hexazacyclooctadecane-2,5,8,11,14,17-Triquinone; Lys-Lys-Linked Cyclic Leucine Enkephalin
分子结构 CAS 登录号:79525-56-7, (3S,6S,9S,12S,15S)-6,9-二(4-氨基丁基)-3-[(4-羟基苯基)甲基]-12-(2-甲基丙基)-15-(苯基甲基)-1,4,7,10,13,16-六氮杂环十八烷-2,5,8,11,14,17-六酮
分子式 C38H56N8O7
分子量 736.91
CAS 登录号 79525-56-7
分子行输入简码 SMILES [C@H]1(NC(=O)[C@@H](NC(=O)CNC(=O)[C@@H](NC(=O)[C@@H](NC(=O)[C@@H](NC1=O)CCCCN)CCCCN)CC2=CC=C(O)C=C2)CC3=CC=CC=C3)CC(C)C
国际化学标识码 InChI 1S/C38H56N8O7/c1-24(2)20-30-37(52)44-28(12-6-8-18-39)35(50)43-29(13-7-9-19-40)36(51)46-31(22-26-14-16-27(47)17-15-26)34(49)41-23-33(48)42-32(38(53)45-30)21-25-10-4-3-5-11-25/h3-5,10-11,14-17,24,28-32,47H,6-9,12-13,18-23,39-40H2,1-2H3,(H,41,49)(H,42,48)(H,43,50)(H,44,52)(H,45,53)(H,46,51)/t28-,29-,30-,31-,32-/m0/s1
国际化学标识检索码 InChIKey IGAGSIVYOPTBPJ-XDIGFQIYSA-N
物理化学性质
密度 1.135g/cm3 (计算值)
沸点 1144.666°C at 760 mmHg (计算值)
闪点 646.07°C (计算值)
市场分析报告
相关产品
1,3-二(4-氨基苯基)脲  3,3-二(4-氨基苯基)-N...  N,N'-二(4-氨基苯基)哌...  1,4-二(4-氨基苯甲酰)哌...  2,5-二(4-氨基苯甲酰胺基...  1,4-二(4-氨基苯氧基)-...  3,5-二(4-氨基苯氧基)苯...  1,3-二(4-氨基苯氧基)丙...  4,4'-二(4-氨基苯氧基)...  2,4-二(4-氨基苄基)苯胺  1,3-二(4-氨基丁基)四甲...  N,N''-二-(4-氨基磺酰...  1,3-二(4-氨基磺酰基苯基...  二(4-氨基甲酰-1-吡啶鎓甲...  二(4-苯胺基-2-甲氧基偶氮...  N,N'-二(4-苯胺基苯基)...  4,4'-二(4-苯基-2H-...  4,4'-二(4-苯基-2H-...  4,4'-二(4-苯基-2H-...  2,2''-二-(4-苯基氨基...