全球化学品在线数据库

寡糖酶抑素 D
[CAS 80955-61-9]

供应商
CAS#: 80955-61-9
产品: 寡糖酶抑素 D
暂时没有厂家供应该产品。
基本信息
产品名称 寡糖酶抑素 D
英文名 Oligostatin D
别名 (2R,3R,4R,5R)-4-[(2R,3R,4R,5S,6R)-5-[(2R,3R,4R,5S,6R)-5-[(2R,3R,4R,5S,6R)-5-[(2R,3R,4S,5S,6R)-3,4-Dihydroxy-6-Methyl-5-[[(1S,2S,3S,4R,5S,6R)-2,3,4,6-Tetrahydroxy-5-(Hydroxymethyl)Cyclohexyl]Amino]Tetrahydropyran-2-Yl]Oxy-3,4-Dihydroxy-6-(Hydroxymethyl)Tetrahydropyran-2-Yl]Oxy-3,4-Dihydroxy-6-(Hydroxymethyl)Tetrahydropyran-2-Yl]Oxy-3,4-Dihydroxy-6-(Hydroxymethyl)Tetrahydropyran-2-Yl]Oxy-2,3,5,6-Tetrahydroxy-Hexanal; (2R,3R,4R,5R)-4-[[(2R,3R,4R,5S,6R)-5-[[(2R,3R,4R,5S,6R)-5-[[(2R,3R,4R,5S,6R)-5-[[(2R,3R,4S,5S,6R)-3,4-Dihydroxy-6-Methyl-5-[[(1S,2S,3S,4R,5S,6R)-2,3,4,6-Tetrahydroxy-5-(Hydroxymethyl)Cyclohexyl]Amino]-2-Tetrahydropyranyl]Oxy]-3,4-Dihydroxy-6-(Hydroxymethyl)-2-Tetrahydropyranyl]Oxy]-3,4-Dihydroxy-6-(Hydroxymethyl)-2-Tetrahydropyranyl]Oxy]-3,4-Dihydroxy-6-(Hydroxymethyl)-2-Tetrahydropyranyl]Oxy]-2,3,5,6-Tetrahydroxyhexanal; (2R,3R,4R,5R)-4-[(2R,3R,4R,5S,6R)-5-[(2R,3R,4R,5S,6R)-5-[(2R,3R,4R,5S,6R)-5-[(2R,3R,4S,5S,6R)-3,4-Dihydroxy-6-Methyl-5-[[(1S,2S,3S,4R,5S,6R)-2,3,4,6-Tetrahydroxy-5-Methylol-Cyclohexyl]Amino]Tetrahydropyran-2-Yl]Oxy-3,4-Dihydroxy-6-Methylol-Tetrahydropyran-2-Yl]Oxy-3,4-Dihydroxy-6-Methylol-Tetrahydropyran-2-Yl]Oxy-3,4-Dihydroxy-6-Methylol-Tetrahydropyran-2-Yl]Oxy-2,3,5,6-Tetrahydroxy-Hexanal
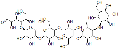
分子结构 CAS 登录号:80955-61-9, 寡糖酶抑素 D
分子式 C37H65NO29
分子量 987.91
CAS 登录号 80955-61-9
分子行输入简码 SMILES [C@H]2([C@H]([C@H](N[C@H]1[C@@H]([C@@H]([C@@H](O)[C@@H]([C@H]1O)O)CO)O)[C@H](O[C@@H]2O[C@H]3[C@@H]([C@H]([C@H](O[C@@H]3CO)O[C@H]5[C@@H]([C@H]([C@@H](O[C@H]4[C@@H]([C@H]([C@H](O[C@@H]4CO)O[C@@H]([C@@H]([C@H](C=O)O)O)[C@@H](CO)O)O)O)O[C@@H]5CO)O)O)O)O)C)O)O
国际化学标识码 InChI 1S/C37H65NO29/c1-8-15(38-16-17(47)9(2-39)18(48)22(52)21(16)51)20(50)26(56)34(60-8)65-31-12(5-42)62-36(28(58)24(31)54)67-33-14(7-44)63-37(29(59)25(33)55)66-32-13(6-43)61-35(27(57)23(32)53)64-30(11(46)4-41)19(49)10(45)3-40/h3,8-39,41-59H,2,4-7H2,1H3/t8-,9+,10+,11-,12-,13-,14-,15-,16+,17-,18-,19-,20+,21+,22+,23-,24-,25-,26-,27-,28-,29-,30-,31-,32-,33-,34-,35-,36-,37-/m1/s1
国际化学标识检索码 InChIKey RGAFWPFVZNHAQS-IGAKGDEGSA-N
物理化学性质
密度 1.794g/cm3 (计算值)
沸点 1340.471°C at 760 mmHg (计算值)
闪点 764.489°C (计算值)
市场分析报告
相关产品
gamma-谷氨酰组胺  谷氨酰-组氨酰-苯丙氨酰-精氨...  贯叶金丝桃素  贯叶金丝桃素二环己基铵盐  贯叶连翘提取物  贯叶连翘油  观音莲明  管藻黄素  钴螯合物  挂式四氢双环戊二烯; 四氢双环...  胍碳酸盐  Guavin B  瓜萎镰菌醇  2',5'-寡腺苷基-5'-二...  呱西替柳  (15N...  胍乙啶  胍乙啶 N-氧化物  胍乙啶半硫酸盐  胍乙啶单硫酸盐