|
CAS#: 84211-47-2 产品: N-丁二酰去铁敏 B 暂时没有厂家供应该产品。 |
| 产品名称 | N-丁二酰去铁敏 B |
|---|---|
| 英文名 | N-Succinyldesferrioxamine B |
| 别名 | 4-[5-[[4-[5-[[4-[5-(Acetyl-Hydroxy-Amino)Pentylamino]-4-Oxo-Butanoyl]-Hydroxy-Amino]Pentylamino]-4-Oxo-Butanoyl]-Hydroxy-Amino]Pentylamino]-4-Oxo-Butanoic Acid; 4-[5-[[4-[5-[[4-[5-(Acetyl-Hydroxyamino)Pentylamino]-1,4-Dioxobutyl]-Hydroxyamino]Pentylamino]-1,4-Dioxobutyl]-Hydroxyamino]Pentylamino]-4-Oxobutanoic Acid; 4-[5-[[4-[5-[[4-[5-(Acetyl-Hydroxy-Amino)Pentylamino]-4-Keto-Butanoyl]-Hydroxy-Amino]Pentylamino]-4-Keto-Butanoyl]-Hydroxy-Amino]Pentylamino]-4-Keto-Butyric Acid |
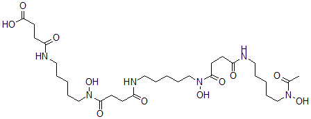
| 分子结构 | ![]() |
| 分子式 | C29H52N6O11 |
| 分子量 | 660.76 |
| CAS 登录号 | 84211-47-2 |
| 分子行输入简码 SMILES | C(C(=O)N(O)CCCCCNC(=O)CCC(=O)O)CC(=O)NCCCCCN(O)C(=O)CCC(=O)NCCCCCN(O)C(=O)C |
| 国际化学标识码 InChI | 1S/C29H52N6O11/c1-23(36)33(44)20-8-2-5-17-30-24(37)11-14-27(40)34(45)21-9-3-6-18-31-25(38)12-15-28(41)35(46)22-10-4-7-19-32-26(39)13-16-29(42)43/h44-46H,2-22H2,1H3,(H,30,37)(H,31,38)(H,32,39)(H,42,43) |
| 国际化学标识检索码 InChIKey | CPEIGBDIJPZAEK-UHFFFAOYSA-N |
| 密度 | 1.258g/cm3 (计算值) |
|---|---|
| 市场分析报告 |